Rapport d’enquête sur la sécurité du transport aérien A24W0008

Collision avec le relief
Northwestern Air Lease Ltd.
BAE Systems Jetstream 3212, C-FNAA
Aéroport de Fort Smith (CYSM) (Territoires du Nord-Ouest), 0,7 NM NW

Le Bureau de la sécurité des transports du Canada (BST) a enquêté sur cet événement dans le but de promouvoir la sécurité des transports. Le Bureau n’est pas habilité à attribuer ni à déterminer les responsabilités civiles ou pénales. Le présent rapport n’est pas créé pour être utilisé dans le contexte d’une procédure judiciaire, disciplinaire ou autre. Voir Propriété et utilisation du contenu. Les pronoms et les titres de poste masculins peuvent être utilisés pour désigner tous les genres afin de respecter la Loi sur le Bureau canadien d’enquête sur les accidents de transport et de la sécurité des transports (L.C. 1989, ch. 3).

Table des matières

    Résumé

    Le 23 janvier 2024 à 6 h 41, heure normale des Rocheuses, pendant les heures d’obscurité, l’aéronef British Aerospace P.L.C. Jetstream modèle 3212 (immatriculation C-FNAA, numéro de série 929) exploité par Northwestern Air Lease Ltd. a quitté l’aéroport de Fort Smith (CYSM) (Territoires du Nord-Ouest) pour effectuer un vol selon les règles de vol aux instruments à destination de l’aérodrome de Diavik (CDK2) (Territoires du Nord-Ouest), avec un commandant de bord, un premier officier et 5 passagers à bord. Peu après avoir décollé de la piste 30 de CYSM, l’aéronef a entamé une descente, a heurté des arbres à 0,5 mille marin (NM) au-delà de l’extrémité de la piste, puis a heurté le terrain à 0,6 NM de l’extrémité de la piste et à 0,1 NM à gauche du prolongement de l’axe de piste. Le commandant de bord, le premier officier et 4 des passagers ont été mortellement blessés. Un passager, qui avait été éjecté de l’aéronef pendant le déroulement de l’accident, a subi des blessures mineures. La radiobalise de repérage d’urgence s’est déclenchée, et son signal a été reçu par le Centre canadien de contrôle des missions. L'aéronef a été détruit, et un incendie après impact a consumé une grande partie du fuselage.

    L’enquête a déterminé que lors du décollage, le commandant de bord a délibérément maintenu une assiette en tangage peu prononcée et une vitesse anémométrique élevée afin d’éliminer toute accumulation possible de neige sur l’aéronef. Ainsi, le profil de départ de l’aéronef était plus près du sol que lors d’un départ standard. Ensuite, lorsque le commandant de bord et le premier officier ont tenté de rentrer le train d’atterrissage, la combinaison d’une température extérieure inférieure à environ −20 °C et de la charge aérodynamique exercée sur le train d’atterrissage sous l’effet de l’augmentation de vitesse a empêché 1 des trains principaux, probablement celui de gauche, de rentrer complètement. Après que le premier officier a annoncé la réduction de la vitesse anémométrique, le commandant de bord a réduit la puissance des moteurs pour réduire la vitesse de l’aéronef et permettre au train d’atterrissage principal de rentrer complètement. En raison de la diminution de puissance, l’aéronef a entamé une descente non intentionnelle à 140 pieds au-dessus du niveau de sol. Le commandant de bord et le premier officier, probablement préoccupés par l’indication d’anomalie du train d’atterrissage principal et la vitesse anémométrique de l’aéronef, n’ont remarqué la perte d’altitude de l’aéronef qu’immédiatement avant l’impact. Par conséquent, l’aéronef a heurté des arbres et le terrain 10 secondes après le début de la descente.

    La présente enquête a aussi examiné les facteurs qui peuvent ne pas avoir causé l’événement ou y avoir contribué, mais qui pourraient présenter un risque à l’avenir. 

    L’enquête a révélé qu’un problème concernant le train d’atterrissage principal gauche et sa tendance à ne pas rentrer complètement n’avait pas été consigné dans le carnet de route de l’aéronef. Si les pilotes ne consignent pas tous les défauts de l’aéronef dans les dossiers techniques de l’aéronef, il se peut que le personnel de maintenance ne les corrige pas, ce qui augmente le risque que l’aéronef soit assigné à un vol alors que son état est dangereux.

    Selon l’analyse de la performance au décollage de l’aéronef réalisée par le laboratoire du BST, la performance de vol de l’aéronef à l’étude n’a pas été dégradée considérablement par des facteurs aérodynamiques négatifs liés à la contamination des surfaces critiques. La contamination des surfaces critiques n’a donc pas contribué à la collision de l’aéronef avec les arbres. Cependant, si les pilotes ne s’assurent pas que les surfaces critiques de l’aéronef sont exemptes de contaminants avant un vol, il y a un risque que la performance de l’aéronef soit réduite. 

    Le rôle et les responsabilités du pilote aux commandes et du pilote surveillant doivent être bien définis afin d’améliorer leur performance. L’enquête a déterminé que les rôles et responsabilités en matière de surveillance qui s’appliquent pendant un départ n’étaient pas définis explicitement dans les manuels de Northwestern Air Lease Ltd. Si le rôle et les responsabilités du pilote aux commandes et du pilote surveillant ne sont pas bien définis, la surveillance de l'aéronef qu’ils effectuent risque de ne pas être efficace, ce qui augmente le risque qu’ils ne se rendent pas compte d’une déviation par rapport à la trajectoire de vol prévue et donc qu’ils ne la corrigent pas.

    Les listes de vérification sont des sources d’information cruciales qui offrent aux pilotes des lignes directrices d’exploitation de l’aéronef. Elles leur fournissent des solutions toutes faites à diverses situations et tiennent compte de facteurs de risque qui pourraient ne pas être évidents au cours de l’exploitation normale ou dans une situation anormale ou d’urgence. Selon les données recueillies pendant l’enquête, par le passé, les pilotes ne consultaient pas la liste de vérification en cas de situation anormale après avoir constaté l’indication d’anomalie du train d’atterrissage. Si les pilotes ne suivent pas les procédures recommandées par l’avionneur, il existe un risque que l’aéronef se retrouve dans un état indésirable à la suite d’actions inappropriées ou incorrectes. 

    L’enquête a déterminé que les pilotes de Northwestern Air Lease qui pilotaient des aéronefs Jetstream de la compagnie étaient bien conscients de la défaillance du train d’atterrissage principal de l’aéronef à l’étude, qui dans certaines circonstances, ne se verrouillait pas dans la position rentrée. Étant donné que ce problème ne se produisait pas à chaque vol, le consensus au sein de la compagnie était que ce problème ne constituait pas une préoccupation en matière de sécurité aérienne justifiant sa consignation dans les dossiers techniques de l’aéronef. De plus, les pilotes avaient mis au point une adaptation simple et informelle (ou solution de rechange) pour verrouiller le train d’atterrissage principal en position rentrée. Étant donné que cette solution de rechange avait produit systématiquement de bons résultats lors d’autres vols effectués avant l’événement et avait permis aux pilotes de ces vols de poursuivre leur route sans autre problème, elle a renforcé la nature anodine du problème en tant que tel et de l’adaptation. En revanche, si les adaptations aux procédures d’exploitation normalisées sont acceptées sans être officiellement mises en œuvre au sein d’une compagnie, il existe un risque que des interprétations divergentes des procédures entre les pilotes nuisent à la conscience commune de la situation et à l’efficacité de la gestion des ressources de l’équipage. 

    En octobre 2024, Northwestern Air Lease Ltd. a modifié le manuel des procédures d’exploitation normalisées des aéronefs Jetstream des séries 3100 et 3200 afin de préciser comment et quand les pilotes doivent réagir en cas de situation anormale ou d’urgence pendant un vol.

    1.0 Renseignements de base

    1.1 Déroulement du vol

    Enregistrements de conversations de poste de pilotage

    L’Annexe 13 à la Convention relative à l’aviation civile internationale exige des États qui effectuent des enquêtes sur les accidents de protéger les enregistrements des conversations dans le poste de pilotage.Organisation de l’aviation civile internationale (OACI), Annexe 13 à la Convention relative à l’aviation civile internationale : Enquêtes sur les accidents et incidents d’aviation, 13e édition (juillet 2024), paragraphe 5.12. Le Canada se conforme à cette exigence en protégeant tous les enregistrements de bord, y compris ceux des enregistreurs de conversations de poste de pilotage (CVR), en vertu de la Loi sur le Bureau canadien d’enquête sur les accidents de transport et de la sécurité des transports. Même si le BST peut faire usage de tout enregistrement de bord dans l’intérêt de la sécurité des transports, il n’est pas autorisé à divulguer sciemment toute partie d’un enregistrement de bord qui n’a aucun rapport avec les causes ou les facteurs contributifs d’un accident ou avec la détermination des lacunes de sécurité.

    La raison pour laquelle on protège l’information que contiennent les CVR se fonde sur le principe selon lequel cette protection aide à assurer que les pilotes continuent de s’exprimer librement et que ces données essentielles sont mises à la disposition des enquêtes de sécurité. Le BST a toujours pris très au sérieux ses obligations en la matière et a rigoureusement limité l’usage des données des CVR dans ses rapports. À moins que le contenu du CVR soit requis pour étayer un fait établi et cerner une lacune de sécurité importante, il n’est pas inclus dans le rapport du BST.

    Pour valider les questions de sécurité soulevées par la présente enquête, le BST s’est servi de l’information provenant du CVR dans son rapport. Dans chaque cas, les données ont été soigneusement examinées pour s‘assurer qu’elles étaient nécessaires pour promouvoir la sécurité des transports.

    Le 23 janvier 2024 vers 5 hLes heures sont exprimées en heure normale des Rocheuses (temps universel coordonné moins 7 heures), sauf indication contraire., le commandant de bord est arrivé aux installations de Northwestern Air Lease Ltd. (Northwestern Air Lease) à l’aéroport de Fort Smith (CYSM) (Territoires du Nord-Ouest) afin de préparer l’aéronef Jetstream modèle 3212 de British Aerospace P.L.C. pour effectuer le vol aller-retour Polar 738, selon les règles de vol aux instruments (IFR), à destination de l’aérodrome de Diavik (CDK2) (Territoires du Nord-Ouest), dans le but de transporter 5 employés de la mine de diamants de Diavik à la mine pour leur quart de travail. Le vol était effectué en vertu de la sous-partie 704 du Règlement de l’aviation canadien (RAC).

    Vers 5 h 30, le premier officier (P/O) est arrivé pour participer aux préparatifs du vol. Puisqu’il neigeait lorsque le commandant de bord et le P/O sont arrivés au hangar, le commandant de bord a demandé, vers 5 h 35, au personnel au sol de la compagnie d’« imprégner de froidOn imprègne un aéronef de froid lorsqu’il neige abondamment. Pour cela, les portes du hangar sont ouvertes, mais l’aéronef est laissé à l’intérieur jusqu’à ce que sa structure ait suffisamment refroidi pour que la neige qui tombe ne fonde pas et n’adhère pas à sa surface.  » l’aéronef pendant 20 minutes avant de le sortir du hangar et de l’avitailler pour le vol. Par mesure de sécurité, le personnel au sol a décidé d’imprégner de froid l’aéronef pendant 15 minutes supplémentaires et l’a sorti du hangar pour l’avitailler vers 6 h 10. L’aéronef a ensuite été avitaillé à sa capacité maximale (3200 livres de carburant). Le carburant utilisé était entreposé dans un réservoir en surface, et la température nocturne à Fort Smith avait été d’environ −20 °C. Pendant l’avitaillement, le personnel au sol a inspecté plusieurs fois la surface supérieure des ailes pour vérifier si la neige qui tombait y adhérait. Aucune adhérence n’a été observée. L'avitaillement s’est terminé à 6 h 28.

    L’aéronef a ensuite été remorqué sur environ 150 pieds jusqu’à l’aérogare afin de faciliter l’embarquement des passagers et le chargement des bagages. Pendant l’embarquement des passagers, le commandant de bord (pilote aux commandes [PF] pour le vol aller) a fait une inspection visuelle et tactile du bord d’attaque de l’aile gauche pour vérifier si de la neige adhérait à l’aéronef. Il est ensuite monté à bord de l’aéronef, après quoi la porte d’entrée a été fermée. Le commandant de bord et le P/O ont exécuté la liste de vérification avant démarrage de l’aéronef, puis ont démarré les moteurs à 6 h 33. Le P/O a ensuite fait remarquer au commandant de bord que la neige semblait tomber plus fort. Au cours de l’exécution de la liste vérification avant démarrage, le système d’antigivrage de l’aéronef a été vérifié; aucune anomalie n’a été remarquée. Pendant ce temps, une accumulation de neige a été observée sur le bord d’attaque extérieur de l’aileLe manuel d’exploitation de la compagnie (COM) de Northwestern Air Lease exige qu’une personne qualifiée réalise une inspection des surfaces critiques afin d’y détecter toute contamination immédiatement avant le décollage. (Source : Northwestern Air Lease Ltd., Company Operations Manual, édition 2, modification 8 [8 décembre 2022], chapitre 8 : Operating Procedures, section 8.12.1 : Definitions, p. 8-33.). Préoccupé par la possibilité d’une accumulation de neige sur l’aéronef, le commandant de bord a informé le P/O qu’il faudrait une certaine vitesse pour souffler la neige légère de l’aéronef pendant le décollage.

    La liste de vérification après démarrage a été exécutée, et le commandant de bord et le P/O ont commencé la liste de vérification de circulation au sol à 6 h 36. Dans le cadre de la liste de vérification de circulation au sol, les volets ont été réglés à 10° pour le décollage. Le commandant de bord a procédé à l’exposé avant le décollage, puis l’aéronef a quitté l’aire de trafic principale par la voie de circulation A et a remonté la piste 30 jusqu’au seuil pour le départ. Le système de protection contre le décrochage a été mis à l’essai, et les vérifications d’alignement ont été effectuées sans problème. À 6 h 41, pendant les heures d’obscurité, l'aéronef a amorcé sa course au décollage sur la piste 30. The P/O a annoncé « 70 knots » [70 nœuds]; le commandant de bord a accusé réception de cette information. Peu après, le P/O a annoncé « V1 »Le constructeur de l'aéronef définit V1 comme la vitesse de décision au décollage. C’est à ce moment-là qu’il est décidé soit de poursuivre le décollage, soit de l’interrompre. (Source : BAE Systems, numéro de référence du manuel MOM P1-006, Jetstream 3200 Series Manufacturers Operating Manual, partie 1 : Flying, révision 05 [15 mars 2023], chapitre 0 : Introduction, glossaire 2 : Definitions, p. 0-4-1.), puis « Rotate » [rotation], après quoi le commandant de bord a fait faire une rotation à l’aéronef pour quitter la surface de la piste. Sept secondes plus tard, le P/O a annoncé « Positive rate » [vitesse ascensionnelle positive] pendant la montée, et le commandant de bord a demandé que le train d’atterrissage soit rentré. Le P/O a alors demandé au commandant de bord s’il souhaitait que l’allumage continu du réacteur soit sélectionné; le commandant de bord a répondu par l’affirmative et le P/O a sélectionné l’allumage continu.

    Huit secondes plus tard, à une altitude d’environ 100 pieds au-dessus du sol (AGL), le P/O a remarqué une indication d’anomalie du train d’atterrissage et en a avisé le commandant de bord. Deux secondes plus tard, le P/O a demandé au commandant de bord de réduire la vitesse; le commandant de bord a accusé réception de l’information, et 2 brefs changements de régime des hélices se sont produits en l’espace de 6 secondes. Au cours de la montée initiale, le commandant de bord a maintenu un angle et une assiette de montée à faible pente, la vitesse de l’aéronef a augmenté pour atteindre une vitesse indiquée en nœuds (KIAS) d’environ 165, et l’aéronef a atteint une altitude maximale d’environ 140 pieds AGL (annexe A, figure A1). À ce moment-là, l’aéronef a commencé une descente à faible pente. Six secondes plus tard, le P/O a remarqué que l’aéronef perdait de l’altitude et a annoncé « Descending » [descente]. Une seconde plus tard, le système d’avertissement et d’alarme d’impact (TAWS) a commencé à émettre une alerte sonore et, simultanément, l’aéronef a heurté des arbres à 0,5 mille marin (NM) de l’extrémité de la piste 30. Lors de cet impact, la structure de l’aile gauche a été endommagée, ce qui a provoqué une boule de feu. 

    Environ 3 secondes après la collision initiale, l’aéronef a heurté d’autres arbres, puis le sol à 0,6 NM de l’extrémité de la piste 30 et à 0,1 NM à gauche du prolongement de l’axe de piste (annexe A, figure A2). Pendant la phase finale de la séquence de l’accident, 1 passager a été éjecté de l’aéronef (le siège et la ceinture de sécurité sont restés dans l’aéronef) et a subi des blessures mineures. Le commandant de bord, le P/O et les 4 autres passagers ont subi des blessures mortelles. L’aéronef a été détruit par les forces de l’impact et par un incendie alimenté par le carburant qui s’est déclaré après l’impact. La majeure partie du fuselage et la partie centrale de l’aile ont été consumées. La radiobalise de repérage d’urgence (ELT) de 406 MHz s’est déclenchée et un signal a été reçu par le Centre canadien de contrôle des missions à Trenton (Ontario), qui a relayé les renseignements du signal au Centre conjoint de coordination de sauvetage (JRCC). 

    1.2 Personnes blessées

    Deux membres d’équipage de conduite et 5 passagers étaient à bord de l’aéronef. Le tableau 1 donne un aperçu de la gravité des blessures.

    Tableau 1. Personnes blessées

    Gravité des blessures

    Équipage

    Passagers

    Personnes ne se trouvant pas à bord de l’aéronef

    Total selon la gravité des blessures

    Mortelles

    2

    4

    6

    Graves

    0

    0

    0

    Légères

    0

    1

    1

    Total des personnes blessées

    2

    5

    7

    1.3 Dommages à l’aéronef

    L'aéronef a été détruit par les forces de l’impact et par l’incendie qui a suivi. 

    1.4 Autres dommages

    L’aéronef a heurté des arbres et le sol dans une zone boisée, ce qui a causé des dommages localisés à la forêt tout le long du champ de débris et sur le site de l’impact. 

    Environ 3200 livres de carburant Jet A se trouvaient à bord de l’aéronef au moment du départ de CYSM. La majeure partie de ce carburant a été consumée dans l’incendie qui a suivi l’accident; toutefois, une partie a contaminé le tapis forestier. 

    1.5 Renseignements sur le personnel

    Tableau 2. Renseignements sur le personnel

    Commandant de bord

    Premier officier

    Licence de pilote

    Licence de pilote de ligne – avion

    Licence de pilote professionnel – avion

    Date d’expiration du certificat médical

    1er juin 2024

    1er février 2025

    Heures de vol totales

    8277,0

    717,3

    Heures de vol sur type

    627,3

    467,2

    Heures de vol au cours des 24 heures précédant l’événement 

    5,1

    0,0

    Heures de vol au cours des 7 jours précédant l’événement 

    17,3

    18,2

    Heures de vol au cours des 30 jours précédant l’événement

    17,3

    29,6

    Heures de vol au cours des 90 jours précédant l’événement 

    110,5

    143,3

    Heures de vol sur type au cours des 90 jours précédant l’événement 

    110,5

    143,3

    Heures de service avant l’événement 

    1,5

    1

    Heures hors service avant la période de travail

    13,5

    72

    Le commandant de bord et le P/O avaient la licence et les qualifications appropriées pour effectuer le vol conformément à la réglementation en vigueur. 

    1.5.1 Commandant de bord

    Le commandant de bord avait été embauché par Northwestern Air Lease le 1er décembre 2022. Il avait obtenu sa qualification de type sur le Jetstream de la série 3200 le 22 décembre 2022. Outre cette qualification de type, le commandant de bord détenait des qualifications de type sur le Jetstream de la série 3100, sur le Convair 580, le Lockheed L-188 Electra, le Lockheed L-1011 TriStar, le Canadair Regional Jet, ainsi que sur les Boeing 737 des séries 600, 700 et 800. Le commandant de bord détenait aussi une licence de mécanicien navigant annotée des qualifications pour les Douglas DC-8, Lockheed L-188 Electra et le Lockheed L-1011 TriStar. Lors du vol à l’étude, le commandant de bord occupait le siège de gauche et était le pilote aux commandes. 

    Un examen des dossiers de formation du commandant de bord a permis de déterminer qu'il avait suivi tous les cours de formation initiale et périodique exigés par la compagnie, notamment :

    • la formation initiale sur le Jetstream de la série 3100;
    • la formation sur la transition(différences) BA31/32;
    • la formation sur la prévention des impacts sans perte de contrôle (CFIT);
    • la formation sur les procédures en situation d’urgence à l’intention des pilotes (pour les Jetstream des séries 3100 et 3200); 
    • la formation sur la contamination de la surface des aéronefs;
    • la formation sur le givrage en vol;
    • la formation sur la gestion des ressources de l’équipage (initiale et périodique).

    1.5.2 Premier officier

    Le premier officier avait obtenu sa licence de pilote professionnel et une qualification de classe multimoteurs en décembre 2021. Il avait été recruté par le service de régulation des vols de Northwestern Air Lease le 17 janvier 2023.Il avait réussi son contrôle de la compétence du pilote pour les Jetstream des séries 3100 et 3200 le 23 mai 2023, puis avait commencé à voler à temps plein pour la compagnie en tant que P/O sur ces types d’aéronefs. Lors du vol à l’étude, le P/O occupait le siège de droite et était le PNF (pilote qui n’est pas aux commandesLe manuel des procédures d’exploitation normalisées de Northwestern Air Lease concernant les aéronefs Jetstream de la série 3200 emploie l’expression « pilot not flying » [pilote qui n’est pas aux commandes] au lieu de l’expression actuellement utilisée et communément acceptée « pilote surveillant ».(Source : Northwestern Air Lease Ltd., Standard Operating Procedures Jetstream 3200, modification no 4 [5 décembre 2019], section 2 : Checklist and Cockpit Procedures, p. 2-1). Pour en savoir plus sur la différence entre ces expressions, consulter la section 1.17.4 Formation sur la gestion des ressources de l’équipage du présent rapport.). 

    Un examen des dossiers de formation du P/O a permis de déterminer qu'il avait suivi tous les cours de formation initiale et périodique exigés par la compagnie, y compris les mêmes formations indiquées ci-dessus pour le commandant de bord.

    1.6 Renseignements sur l’aéronef

    1.6.1 Généralités

    Tableau 3. Renseignements sur l’aéronef

    Constructeur 

    British Aerospace P.L.C.*

    Type, modèle et immatriculation 

    Jetstream modèle 3212, C-FNAA

    Année de construction 

    1991

    Numéro de série

    929

    Date d’émission du certificat de navigabilité 

    13 mai 2013

    Total d’heures de vol cellule 

    24 405,9 heures

    Type de moteur (nombre) 

    Honeywell Aerospace TPE-331-12UHR (2) 

    Type d’hélice (nombre)

    MT-Propeller GmbH MTV-27 (2)

    Masse maximale autorisée au décollage 

    16 204 lb (7350 kg)

    Types de carburant recommandés 

    Jet A, Jet A1, Jet B 

    Type de carburant utilisé 

    Jet A1

    *  BAE Systems (Operations) Ltd., faisant affaire sous le nom de BAE Systems Regional Aircraft, détient actuellement le certificat de type pour cet aéronef.

    Le Jetstream modèle 3212 est entièrement construit en aluminium. Il s’agit d’un aéronef de transport léger pressurisé certifié pour une capacité maximale de 19 passagers et 2 pilotes. Il est propulsé par 2 turbopropulseurs à arbre fixe Honeywell Aerospace, chacun développant une puissance sur l’arbre de 1020 hp (figure 1). Au décollage et pendant la montée initiale, les moteurs fonctionnent à 100 % du régime du générateur de gaz, ce qui correspond à une rotation des hélices de 1591 tr/min. En mode normal de vol vers l’avant, le régime du moteur/de l’hélice est régulé par le régulateur d’hélice. Étant donné que le système est principalement de nature mécanique, il peut y avoir de légères variations du régime des hélices en fonction de la rapidité avec laquelle les réglages de la manette des gaz sont effectués. L’aéronef à l’étude avait été modifié et avait été équipé de 2 hélices à 5 pales MT-Propeller, qui étaient à vitesse constante, entièrement réversibles et fabriquées en matériaux composites. De plus, l’aéronef était muni d’un train d’atterrissage escamotable à commande hydraulique.

    Figure 1. Aéronef à l’étude. Photo prise avant l’installation des hélices à 5 pales MT-Propeller (Source : Quintin Soloviev)
    Image
     Figure 1. Aéronef à l’étude. Photo prise avant l’installation des hélices à 5 pales MT-Propeller

    L’aéronef était autorisé à voler selon les règles de vol à vue (VFR) de jour et de nuit, à voler IFR, ainsi que dans des conditions de givrage connues ou prévues lorsque l’équipement requis pour ces conditions était installé et opérationnel. L'aéronef était muni d’un TAWS et, comme l'exige la réglementation, d’un enregistreur de conversations de poste de pilotage (CVR).

    Northwestern Air Lease avait acquis l’aéronef en 2013 et Transports Canada (TC) avait émis le certificat de navigabilité le 13 mai 2013.

    Aucune défectuosité non corrigée n’était consignée au moment de l’événement. Selon les calculs effectués, la masse au décollage était de 14 988 livres, et le centre de gravité de l'aéronef se trouvait dans les limites prescrites.

    1.6.2 Train d’atterrissage

    Le train d’atterrissage des aéronefs Jetstream de la série 3200 est à commande électrique et à actionnement hydraulique. Les systèmes de rentrée des trains d’atterrissage principaux gauche et droit comprennent chacun un vérin hydraulique de rentrée et de sortie (tige radiale), qui intègre le mécanisme de verrouillage de train sorti, et aussi un mécanisme de verrouillage de train rentré pour maintenir le train d’atterrissage principal dans cette position. Le système de rentrée du train avant comprend un vérin hydraulique servant à faire rentrer et à faire sortir le train d’atterrissage avant, ainsi que des mécanismes distincts de verrouillage de train sorti et rentré. 

    L’état et la position du train d’atterrissage sont indiqués aux pilotes par une série de voyants rouges et verts sur l’indicateur de position du train d’atterrissage, à l’avant du sélecteur du train (figure 2). Chacun des 3 voyants verts s’allume pour indiquer que l’unité de train d’atterrissage à laquelle il est associé est verrouillée en position sortie. Lorsque 1 ou plusieurs des 3 voyants rouges sont allumés, cela indique que les unités de train d’atterrissage correspondantes ne sont ni verrouillées en position sortie ni complètement rentrées. Lorsque les unités de train d’atterrissage sont complètement rentrées, tous les voyants de l’indicateur de position du train d’atterrissage s’éteignent. La vitesse maximale à laquelle l’aéronef peut voler de façon sécuritaire alors que le train d’atterrissage est sorti (VLE) ou est utilisé (VLO) est de 160 KIAS.

    Figure 2. Tableau de bord central inférieur, montrant l’indicateur de position des trains d’atterrissage avec ses voyants rouges (haut) et verts (en bas) (Source : BAE Systems, Jetstream 3200 Series Aircraft Maintenance Manual, révision 35 [28 septembre 2023], section 32-60-00 : Position and Warning Description and Operation, p. 2, avec annotations du BST)
    Image
    Figure 2. Tableau de bord central inférieur, montrant l’indicateur de position des trains d’atterrissage avec ses voyants rouges (haut) et verts (en bas)

    Lorsque les pilotes veulent rentrer le train d’atterrissage après le décollage, ils placent le levier de commande du train d’atterrissage en position rentrée en tirant sur la poignée et en la plaçant dans la position UP. La valve du sélecteur de train d’atterrissage achemine alors le liquide hydraulique, sous la pression du circuit principal, à travers divers composants hydrauliques vers le côté de rentrée du système d’actionnement du train d’atterrissage. Lorsque les unités de train d’atterrissage commencent à rentrer, les voyants verts s’éteignent et les voyants rouges sur l’indicateur de position du train d’atterrissage s’allument. Lorsque les unités de train d’atterrissage sont complètement rentrées et verrouillées dans cette position par leurs mécanismes de verrouillage de train rentré respectifs, les voyants rouges s’éteignent et aucun voyant ne reste allumé sur l’indicateur de position du train d’atterrissage. Si l’une des 3 unités de train d’atterrissage ne se verrouille pas en position rentrée, le voyant rouge correspondant reste allumé.

    1.6.2.1 Historique de maintenance du train d’atterrissage

    Un examen de l’historique de maintenance de l’aéronef à l’étude pour les 12 mois précédant l’accident a été réalisé, en s’intéressant particulièrement aux travaux relatifs au train d’atterrissage. Les travaux suivants liés au contrôle opérationnel (rentrée et sortie dans le hangar) du système de train d’atterrissage principal, effectués par l’équipe de maintenance de Northwestern Air Lease, avaient été consignés :

    • Le contrôle opérationnel du train d’atterrissage avait été effectué le 30 août 2023, à un total de 24 274,3 heures de vol cellule et 30 204 cycles de vol cellule, dans le cadre du remplacement déjà prévu de l’ensemble de la jambe du train d’atterrissage principal droit. 
    • Des cycles de rentrée et de sortie du trainLes cycles de rentrée et de sortie du train sont effectués lorsque des travaux de maintenance ont été réalisés sur le train d’atterrissage de l’aéronef. Ils consistent à mettre sous tension le circuit hydraulique dans le hangar et à actionner le train d’atterrissage par des cycles de rentrée et de sortie afin de vérifier le bon fonctionnement du circuit. avaient été effectués dans le cadre des travaux de maintenance réalisés sur la porte du train d’atterrissage principal droit le 4 octobre 2023, à 24 296,3 heures et 30 252 cycles.
    • Le micro-interrupteur du mécanisme de verrouillage de position rentrée du train d’atterrissage principal gauche avait été serré comme requis, et des cycles de rentrée et de sortie avaient été effectués le 6 octobre 2023, à 24 297,1 heures et 30 253 cycles.
    • La tige radiale droite (vérin de rentrée) avait été remplacée par une tige en état de service, car la tige originale devait être révisée. Des cycles de rentrée et de sortie du train avaient été effectués et ces travaux avaient été certifiés le 30 octobre 2023 à 24 307,8 heures et 30 264 cycles.
    • La tige radiale gauche avait été remplacée par une tige révisée, car la tige originale avait été retirée pour être utilisée sur un autre aéronef. Des cycles de rentrée et de sortie du train d’atterrissage avaient été effectués après l’installation de la tige radiale. Ces travaux avaient été certifiés le 7 novembre 2023 à 24 322,5 heures et 30 280 cycles de vol cellule.

    Pendant ces travaux de maintenance, aucun problème de rentrée et de sortie du système de train d’atterrissage n’avait été relevé.

    L’enquête a permis de déterminer qu’il y avait eu un problème intermittent avec le train d’atterrissage principal gauche. Ce dernier ne rentrait pas complètement lorsque la température extérieure était inférieure à environ −20 °C et lorsqu’il était soumis à une charge aérodynamique à des vitesses anémométriques supérieures à environ 140 KIAS. Cependant, aucun des dossiers techniques de l’aéronef ne contenait cette information. L’enquête a permis de déterminer que les pilotes d’aéronefs Jetstream à Northwestern Air Lease avaient mis au point une procédure informelle pour remédier au problème. Selon cette procédure informelle, le PF augmentait l’angle de tangage de l’aéronef afin de réduire la vitesse anémométrique à environ 140 KIAS, moment auquel le train d’atterrissage se verrouillait en position rentrée, les voyants indicateurs de position du train d’atterrissage s’éteignaient et les pilotes pouvaient alors poursuivre le vol comme d’habitude. 

    1.6.2.2 Carnet de route de l’aéronef

    Les entrées inscrites dans le carnet de route de l’aéronef au cours des 12 mois précédant l’événement ont été examinées. Aucun problème de rentrée du train d’atterrissage après le décollage n’avait été consigné par les pilotes de la compagnie. Au cours de ces 12 mois, l’aéronef avait accumulé un total de 601,4 heures de vol cellule et 527 cycles de vol cellule.

    1.6.3 Système d’avertissement et d’alarme d’impact

    Comme l’exige la réglementationTransports Canada, DORS/96-433, Règlement de l’aviation canadien, paragraphe 704.71(2).  et conformément au certificat de type supplémentaire (STC)Transports Canada, Certificat de type supplémentaire nC-LSA14-087/D : Installation of Garmin GPS 400W and Sandel ST3400 TAWS/RMI System (émis le 22 mai 2014). délivré à Northwestern Air Lease, l’aéronef était équipé d’un indicateur TAWS/radio magnétique (RMI) ST3400 de marque SandelActuellement Nighthawk Flight Systems, Inc. qui respectait la norme technique (TSO) C151b. Le STC couvrait l’installation d’un GPS 400W de Garmin et du TAWS/RMI ST3400 de Sandel. De plus, le TAWS répondait aux exigences relatives à la précision d’altitude améliorée prévues dans la norme 551 du RAC, à l’article 551.102.

    Le TAWS/RMI ST3400 est un instrument autonome conçu pour remplacer un RMI existant et offrir les fonctionnalités combinées d’un RMI et d’un TAWS. La protection contre les collisions avec le terrain est activée pendant toutes les phases du vol, et les renseignements sur le terrain sont affichés sur un écran en couleurs. Cet appareil utilise le GPS, l’altitude barométrique, l’altitude radar et d’autres données pertinentes, combinées aux renseignements provenant de sa propre base de données interne, pour fournir aux pilotes des renseignements et des avertissements pertinents sur le terrain.

    Le système intégré de mise en garde et d’avertissement du TAWS/RMI ST3400 fournit des alertes visuelles et sonores, y compris toutes les alertes standards du dispositif avertisseur de proximité du sol, ainsi que de nouvelles alarmes de proximité du sol améliorées et divers avis. L’appareil est intégré aux systèmes existants de l’aéronef, y compris ceux du train d’atterrissage et des volets, afin de fournir des avertissements pour ces systèmes si leurs composants connexes ne sont pas dans un état approprié pour une phase de vol donnée. 

    1.6.3.1 Perte d’altitude après le décollage ou une approche interrompue

    L’une des alertes du dispositif avertisseur de proximité du sol émises par le TAWS/RMI ST3400 est l’alerte ALAT (perte d’altitude après le décollage ou approche interrompue) en mode 3B, qui utilise l’altitude radar et l’altitude barométrique pour détecter une perte d’altitude accumulée après un décollage ou une approche interrompue. L’alerte utilise la hauteur au-dessus de l’altitude de décollage. Même si l’appareil a été détruit par l’incendie qui a suivi l’accident, le laboratoire du BST a effectué une analyse des capacités du système afin de déterminer quelle alarme sonore de proximité du sol avait été émise par l’appareil et transmise au commandant de bord et au P/O immédiatement avant que l’aéronef ne heurte les arbres. Lors de l’analyse, le laboratoire s’est appuyé sur les paramètres de conception de l’appareil ainsi que sur les données d’altitude tirées du système de surveillance dépendante automatique en mode diffusion (ADS-B) de l’aéronef pour déterminer quelle aurait été la réponse attendue du TAWS pendant le vol à l’étude.

    D’après l’analyse du système TAWS et les données disponibles pour l’enquête, l’alerte ALAT en mode 3B (alerte sonore et visuelle) devait se déclencher pendant le vol à l’étude. Le déclenchement attendu de cette alerte a coïncidé avec l’alerte sonore du TAWS entendue sur l’enregistrement du CVR. Il a donc été déterminé que l’appareil TAWS/RMI ST3400 avait fonctionné conformément à sa conception et aux exigences de certification.

    1.6.4 Opérations aériennes des aéronefs

    1.6.4.1 Liste de vérification en cas de situation anormale

    Le manuel de vol de l’aéronef (AFM)Le Jetstream Series 3200 Flight Manual Model No. 3212 (l’AFM) est un document approuvé par l’autorité de l’aviation civile du Royaume-Uni au nom de Transports Canada pour les aéronefs immatriculés au Canada. Il contient les renseignements applicables aux aéronefs de cette série précise et fournit des consignes aux pilotes sur le fonctionnement de l’appareil. Les renseignements qu’il contient sont fondés sur le manuel d’utilisation du constructeur (MOM) en plusieurs parties. de l’avionneur (aussi connu sous le nom de manuel d’utilisation du constructeur [MOM]) consiste en 3 documents séparés (Part 1, Part 2 et Part 3). Dans l’AFM des aéronefs Jetstream de la série 3200, BAE Systems définit les procédures à suivre en cas de situation anormale comme [traduction] « […] les procédures recommandées en cas de défaillances qui ne sont pas suffisamment graves pour être classifiées comme des urgencesBAE Systems, Jetstream Series 3200 Flight Manual Model No. 3212, modification générale G9 (avril 2022), section 1 : Flight Manual, p. 0-1-2. ». BAE Systems a publié le document Jetstream Series 3200 Emergency & Abnormal Checklist pour les aéronefs Jetstream de la série 3200, document qui se retrouve également dans la partie 3 de son MOMBAE Systems, MOM-3-HP4.18, Jetstream Series 3200 Emergency & Abnormal Checklist, Manufacturers Operating Manual Part 3, révision 3 (15 mars 2023).. La liste de vérification s’appliquant aux urgences et aux situations anormales est aussi publiée sous forme de manuel de référence rapide (QRH), document indépendant que les équipages de conduite peuvent consulter rapidement en vol en cas de condition anormale de l’aéronef.

    Dans l’introduction de la liste de vérification, l’avionneur expose en détail les actions que doivent exécuter les pilotes quand :

    • l’aéronef est immobile;
    • l’aéronef circule au sol;
    • l’aéronef est en train de décoller (course au décollage).

    Dans la description de la 3e situation, l’avionneur énumère des circonstances précises (dont une indication de panne moteur) dans lesquelles les pilotes doivent interrompre le décollage. Pour toutes les autres situations, l’énoncé suivant est inclus [traduction] : « Pour les autres avertissements, poursuivre le décollage; une fois en vol, exécuter tous les éléments de la liste à exécuter de mémoire nécessaires et consulter la liste de vérification (s’il y a lieu) et la partie 1 du MOMIbid., Introduction.. »

    La liste de vérification contient une section (carte 39Ibid., carte 39.,BAE Systems, Jetstream Series 3200 Flight Manual Model No. 3212, modification générale G9 (avril 2022), chapitre 4 : Abnormal Procedures, section 9 – Hydraulics, Landing Gear & Flaps, Landing gear selector lever up – landing gear not locked up, p. 4-9-4.) qui expose en détail la manière dont les pilotes doivent gérer la situation dans laquelle le train d’atterrissage, lorsque la position rentrée est sélectionnée, ne se met pas en position complètement relevée et verrouillée, comme l’indiquent les voyants rouges allumés sur l’indicateur de position du train d’atterrissage. La procédure, que l’avionneur a publiée à la fois dans la partie 3 du MOM et dans le Jetstream Series 3200 Flight Manual Model No. 3212, peut s’appliquer à toute unité de train d’atterrissage individuelle ou à l’ensemble, selon le cas.

    Voici un résumé des actions à exécuter :

    1. Confirmer que le levier de commande du train d'atterrissage est dans la position UP.
      • Si le train d’atterrissage rentre normalement (aucun voyant allumé sur l’indicateur de position du train d’atterrissage), poursuivre le vol. Si 1 ou plusieurs voyants rouges ou verts sont allumés, passer à l’étape 2.
    2. Placer le levier de commande du train d'atterrissage dans la position DOWN.
      • Si les 3 voyants verts de l’indicateur de position du train d’atterrissage sont allumés, indiquant que le train d’atterrissage est en position sortie et est verrouillé, ne pas effectuer un nouveau cycle du train d’atterrissage. Passer à l’étape 3.
    3. Atterrir à l'aérodrome approprié le plus proche.
    1.6.4.2 Conditions de givrage

    L’AFM des aéronefs Jetstream de la série 3200 indique que des conditions de givrage peuvent exister dès que les 2 conditions suivantes sont présentes :

    • La température extérieure totale au sol et au décollage est de 10 °C ou moins, ou la température extérieure indiquée en vol est de 10 °C ou moins.
    • De l’humidité visible est présente sous quelque forme que ce soit sur une aire de manœuvre de l’aéroport (p. ex. eau stagnante, neige fondante, neige en surface ou glace) ou dans l’atmosphère (p. ex. nuages, brouillard, pluie, grésil, neige ou cristaux de glace)Ibid., chapitre 3 : Conditional Procedures, section 10 – Ice & Rain Protection, p. 3-10-1..
    1.6.4.3 Circuit d’allumage continu

    Les aéronefs Jetstream de la série 3200 sont équipés d’un circuit d’allumage continu. Ce circuit permet aux pilotes d’activer manuellement le circuit d’allumage du moteur et de le laisser fonctionner continuellement jusqu’à ce qu’ils le désactivent. 

    L’AFM indique aux pilotes de sélectionner le circuit d’allumage continuIbid., p. 3-10-4. en cas de sélection tardiveOn entend par sélection tardive un retard de l’activation des systèmes de dégivrage ou d’antigivrage de l’aéronef qui survient lorsque de la glace s’accumule sur l’aéronef, mais que les pilotes ne le remarquent pas immédiatement. du système de protection contre le givrage du moteur ou de la gouverne de profondeur. 

    1.6.5 Installation du système de surveillance dépendante automatique en mode diffusion

    En novembre 2023, les transpondeurs existants de l’aéronef à l’étude avaient été remplacés par des transpondeurs GTX 335DR ADS-B de marque Garmin, qui intègrent la technologie ADS-B. L’ADS-B diffuse des renseignements sur la position et la vitesse de l’aéronef lorsque celui-ci est en vol. Ces données ont été essentielles pour fournir aux enquêteurs les données de trajectoire du vol à l’étude, qui n’auraient autrement pas été disponibles. 

    1.6.6 Performances au décollage

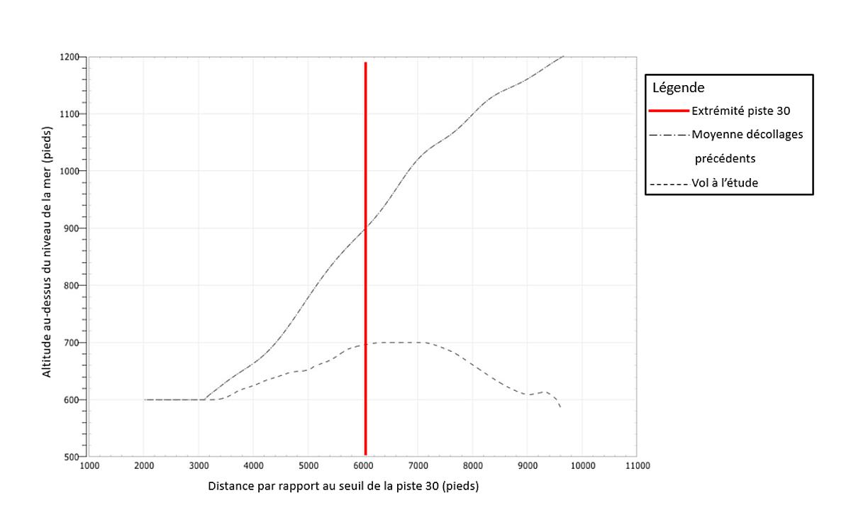
    Les données relatives à la performance au décollage de l’aéronef à l’étude pour 3 de ses départs précédentsL’enquête n’a pas permis de déterminer quels pilotes pilotaient l’aéronef lors de ces départs. de la piste 30 de CYSM ont été compilées à partir des renseignements de l’ADS-B. La moyenne de ces 3 décollages a ensuite été calculée et représentée graphiquement par rapport au profil de décollage du vol à l’étude à des fins de comparaison en fonction de la hauteur (figure 3) et de la vitesse sol (figure 4) de l’aéronef.

    Figure 3. Comparaison de la hauteur pendant la montée initiale du vol à l’étude avec la hauteur moyenne des 3 décollages précédents (Source : BST)
    Image
    Figure 3. Comparaison de la hauteur pendant la montée initiale du vol à l’étude avec la hauteur moyenne des 3 décollages précédents
    Figure 4. Comparaison de la vitesse sol pendant la montée initiale du vol à l’étude avec la vitesse sol moyenne des 3 décollages précédents (Source : BST)
    Image
    Figure 4. Comparaison de la vitesse sol pendant la montée initiale du vol à l’étude avec la vitesse sol moyenne des 3 décollages précédents

    Au cours du vol à l’étude, l’aéronef a décollé de la piste 30 avec un vent de face d’environ 2 à 3 nœuds. Pendant le décollage, lorsque l’aéronef a atteint l’extrémité de la piste 30, il avait atteint une altitude d’environ 100 pieds AGL (700 pieds au-dessus du niveau de la mer [ASL]) et une vitesse sol de 145 nœuds. À titre de comparaison, au cours des 3 décollages précédents, l’altitude moyenne atteinte à l’extrémité de la piste, était de 280 pieds AGL (880 pieds ASL), la vitesse sol moyenne, de 128 nœuds.

    En s’appuyant sur les données disponibles, l’avionneur a effectué sa propre analyse de la performance au décollage de l’aéronef afin de soutenir l’enquête. Cette analyse a permis de déterminer que, lors du décollage à l’étude, celui-ci avait atteint une assiette positive d’environ 5°. Le manuel d’utilisation de l’aéronef de l’avionneur indique qu’une assiette en cabré de 8° à 10° doit être établie pour la montée initialeBAE Systems, MOM P1-006, Jetstream 3200 Series Manufacturers Operating Manual, partie 1 : Flying, révision 05 (15 mars 2023), chapitre 16 : Flight Guide, section 10 : Take-off, p. 16-1-5..

    1.7 Renseignements météorologiques

    1.7.1 Système d’information météorologique limitée

    Un système d’information météorologique limitée (LWIS) est un système d’information et de diffusion automatisé installé aux petits aéroports. Comme son nom l’indique, un LWIS est un système plus rudimentaire qu’un système automatisé d’observations météorologiques (AWOS). Il ne fait des observations et des rapports que sur les paramètres suivants :

    • direction et vitesse du vent;
    • température et point de rosée;
    • calage altimétrique.

    Un LWIS était installé à CYSM et fonctionnait le jour de l’événement. À 6 h , le LWIS à CYSM indiquait les conditions suivantes :

    • vents soufflant du 300° vrai (V) à 2 nœuds;
    • température de −19 °C et point de rosée de −22 °C;
    • calage altimétrique de 29,75 pouces de mercure.

    À 7 h , le LWIS à CYSM indiquait les conditions suivantes :

    • vents soufflant du 290°V à 3 nœuds;
    • température de −19 °C et point de rosée de −22 °C;
    • calage altimétrique de 29,75 pouces de mercure.

    Bien que le LWIS ne soit pas capable de signaler les chutes de neige et que ni l’observation de 6 h ni celle de 7 h ne contenaient ces renseignements, il avait commencé à neiger à CYSM avant que l’aéronef ne soit sorti du hangar, et il neigeait toujours au départ de l’aéronef.

    Il neigeait dans la région depuis plusieurs heures avant que l’aéronef ne quitte CYSM. Même si la neige n’avait pas été indiquée dans les observations du LWIS mises à la disposition du commandant de bord et du P/O avant le vol, ces derniers avaient tous deux vu la neige qui tombait en se rendant à l’aéroport en voiture. Le commandant de bord avait alors demandé que l’aéronef soit imprégné de froid en prévision du vol. La neige qui tombait et l’accumulation potentielle avaient aussi fait l’objet d’une conversation entre le commandant de bord et le P/O pendant qu’ils passaient en revue les divers éléments de la liste de vérification de l’aéronef avant le départ. 

    1.7.2 Prévisions de zone graphique

    La prévision de zone graphique, émise à 4 h 28 et valide au moment du départ, indiquait ce qui suit :

    • plafond couvert avec base de 4000 pieds à 6000 pieds ASL et sommets à 20 000 pieds ASL;
    • visibilité de 2 à 5 milles terrestres (SM) dans de la faible neige;
    • des plafonds locaux à 1500 pieds AGL; 
    • nuages altocumulus castellanus occasionnels jusqu'à 22 000 pieds ASL, avec visibilité de ¾ à 1 SM dans des averses de faible neige et plafonds de 1000 pieds AGL.

    1.7.3 Vidéos de surveillance

    Des caméras de surveillance de la télévision en circuit fermé (CCTV) étaient installées sur l’aérogare de CYSM. Une caméra était orientée vers la zone d’avitaillement et une autre, vers l’aire de trafic de l’aérogare, où les passagers embarquaient dans l’aéronef. La neige qui tombait était visible sur les extraits vidéo des deux caméras. Lorsque le commandant de bord et le P/O ont démarré les moteurs de l’aéronef, la neige qui s’était accumulée au sol à proximité de l’aéronef a rapidement été soufflée par la poussée de l’hélice des deux moteurs, exposant ainsi la surface asphaltée noire. Les caméras de surveillance ont aussi enregistré la boule de feu produite par l’impact initial de l’aéronef avec les arbres au bout du prolongement dégagé de la piste.

    Au cours de l’enquête, une photo de la section extérieure de l’aile droite de l’aéronef, prise par 1 des passagers avant le départ et publiée sur un site Web de médias sociaux, a été envoyée au BST. Elle montrait que la surface de l’aile était contaminée par la neige. Il n’a pas été possible de déterminer la quantité exacte de neige; toutefois, le boudin de dégivrage (en caoutchouc noir) situé sur le bord d’attaque de l’aile était recouvert de neige.

    1.8 Aides à la navigation

    Sans objet.

    1.9 Communications

    Il n’y a pas eu, que l’on sache, de problème de communication.

    1.10 Renseignements sur l’aérodrome

    CYSM appartient au gouvernement des Territoires du Nord-Ouest, qui est aussi responsable de son exploitation. Il s’agit d’un aérodrome certifié situé au sud de la rivière des Esclaves, à l’ouest de la ville de Fort Smith (Territoires du Nord-Ouest). L'aéroport est situé à une altitude de 673 pieds ASL et a 2 pistes sécantes. La piste 03/21 mesure environ 1800 pieds de long et 100 pieds de large, et elle est recouverte partiellement de gravier et partiellement d’asphalte. La piste 12/30 est considérée la piste principale. Mesurant 6001 pieds de long et 100 pieds de large, elle est entièrement asphaltée et est certifiée pour les aéronefs du groupe AGN IIIBLe numéro de groupe d’aéronefs (AGN) IIIB signifie que la voie de circulation et la piste sont exemptes d’obstacles pour les aéronefs d’une envergure ne dépassant pas 36 m.

    Le terrain s’étendant sur environ 2800 pieds au-delà de l’extrémité de départ asphaltée de la piste 30 est déboisé sur une largeur d’environ 1000 pieds. Il n’y avait aucune source de lumière artificielle ou naturelle sur la trajectoire de départ de la piste 30.L’aéroport ne dispose pas de tour de contrôle; toutefois, il est équipé d’une station radio d’aérodrome communautaire exploitée par du personnel formé. Le jour de l’événement, la station a commencé le service à 7 h 00. 

    L’autorité aéroportuaire de CYSM ne possède pas de capacités de dégivrage ou d’antigivrage des aéronefs.

    1.11 Enregistreurs de bord

    L’aéronef disposait d’un CVR d’une capacité d’enregistrement de 30 minutes. Les données qui y étaient stockées comprenaient celles du vol à l’étude et ont été téléchargées avec succès. Elles contenaient un son de bonne qualité. Le dernier contrôle de lisibilité du CVR avait eu lieu le 27 juillet 2023.

    L’aéronef n’avait pas d’enregistreur de données de vol (FDR), et il n’était pas tenu d’en avoir un en vertu de la réglementation. Par conséquent, les seules données relatives à la performance de l’aéronef qui ont été recueillies, outre les renseignements provenant de l’ADS-B, venaient du CVR. Ces données correspondent au régime de l’hélice et à la vitesse du train avant (convertie en vitesse sol) enregistrés par le microphone de la cabine de pilotage. 

    Au cours de son analyse de la performance de l’aéronef, le laboratoire du BST a pu produire un graphique (annexe A, figure A1) combinant les données du CVR et les données ADS-B de l’aéronef pour aider les enquêteurs à comprendre la chronologie des événements avant l’accident.

    1.12 Renseignements sur l’épave et sur l’impact

    L’aéronef a heurté la cime des arbres situés à 0,5 NM (3050 pieds) au-delà de l’extrémité de la piste 30, à une hauteur d’environ 40 pieds. Les dommages à la cime des arbres indiquaient que l’aéronef était à l’horizontale au moment de l’impact initial. Au début des opérations de recherche, le personnel au sol a senti une odeur de carburant à cet endroit, et plusieurs fragments de l’aéronef, principalement des carénages et des fragments de casserole d’hélice, ont été retrouvés.

    Après le premier impact avec les arbres, l’aéronef a continué son vol sur un cap de 300°V avant de heurter le terrain à 680 pieds de l’extrémité de la zone déboisée et de s’immobiliser. Après cet impact, le fuselage et l’empennage sont restés en un morceau, mais les ailes gauche et droite se sont détachées du fuselage et ont continué leur trajectoire vers l’avant pour se retrouver à l’avant du fuselage. Les moteurs étaient encore partiellement fixés à leurs ailes respectives; toutefois, le support des moteurs était cassé. Toutes les pales des deux hélices ont était coupées au niveau du moyeu de l'hélice.   

    La porte d’entrée principale de la cabine et l’issue de secours ont été retrouvées en position fermée lorsqu’elles ont été examinées sur le lieu de l’accident.

    1.12.1 Examen du moteur

    Les deux moteurs de l’aéronef à l’étude ont été retirés de l’épave et transportés dans les installations de l’avionneur (Honeywell Aerospace), à Phœnix (Arizona), aux États-Unis, où ils ont été entièrement démontés pour être examinés en détail en présence du BST. L’examen a révélé que les rotors de compresseur au premier étage des deux moteurs présentaient des dommages compatibles avec ceux causés par l’ingestion de corps étrangers. De la terre a été trouvée dans la veine gazeuse des deux moteurs, aux deux étages du compresseur et aux deux étages du diffuseur, ainsi que dans les tubes à flamme. Par ailleurs, de la terre obstruait complètement certains des orifices de refroidissement dans les chambres de combustion. Enfin, des éclaboussures d’aluminium ont été trouvées aux 3 étages des turbines de puissance. Ces observations sont des signes de moteurs qui tournent au moment de l’impact. Aucun des moteurs ne présentait de signe de fonctionnement anormal avant l’impact.

    Rien n’indiquait qu'une défaillance des moteurs avait contribué à l'accident.

    1.12.2 Examen de l’hélice

    Sur les deux hélices, toutes les pales s’étaient détachées du moyeu pendant l’accident, mais le moyeu en tant que tel était resté en place. Les deux moyeux d'hélice ont été déposés pendant l'examen des moteurs. Ils ont ensuite été expédiés au centre de réparation de l’avionneur (M-T Propeller GmbH) situé à DeLand (Floride), aux États-Unis, pour faire l’objet d’un examen approfondi. Un représentant du National Transportation Safety Board des États-Unis a assisté à l'examen au nom du BST. Les dommages subis par les deux ensembles d’hélices ainsi que par le mécanisme de changement de pas correspondaient à ceux subis pendant le déroulement de l’accident. Les pales ont été retrouvées à un angle correspondant à la phase de décollage du vol.

    Rien n’indiquait qu'une défaillance des hélices avait contribué à l'accident.

    1.13 Renseignements médicaux et pathologiques

    Rien n’indique que des facteurs médicaux ou physiologiques, y compris la fatigue, ont nui à la performance de l’équipage de conduite.

    1.14 Incendie

    Étant donné que l’aéronef avait décollé avec le plein de carburant (3200 livres), un important incendie, alimenté par ce carburant, s’est déclaré après l’impact et a consumé la majeure partie du fuselage et la partie centrale de l’aile.

    1.15 Questions relatives à la survie des occupants

    Le JRCC a d’abord communiqué avec Northwestern Air Lease à 6 h 56, environ 14 minutes après l’impact de l’aéronef avec le terrain, pour informer la compagnie de l’activation de l’ELT. À ce moment-là, le JRCC a fourni les coordonnées initiales de l’emplacement, qui ont permis à la compagnie d’entreprendre les recherches au sol pour retrouver l’aéronef. Le JRCC a informé le service de répartition de la Gendarmerie royale du Canada (GRC), qui a dépêché des ressources locales, en plus du personnel de la patrouille locale des Rangers canadiens, pour les premières opérations de recherche et sauvetage au sol. Le JRCC a également dépêché des ressources de recherche et sauvetage des Forces armées canadiennes. Vers 10 h 15, l’unique survivant a été retrouvé par le personnel de recherche au sol. Il a ensuite été transporté en motoneige à la zone de rassemblement pour les recherches, où il est arrivé à 10 h 38 et où une ambulance l’attendait. Pendant ce temps-là, un aéronef de recherche et sauvetage des Forces armées canadiennes était arrivé dans la zone vers 10 h 30, et des techniciens en recherche et sauvetage ont ensuite été parachutés sur le lieu de l’accident, où ils sont arrivés vers 11 h 15.

    Même si les forces d’impact verticales découlant de la collision de l’aéronef avec le terrain ont causé des blessures mortelles à 6 des 7 occupants, ces forces d’impact offraient probablement des chances de survie. Il est probable que, c’est parce qu’il portait sa ceinture de sécurité sans que celle-ci soit serrée au moment où l’aéronef s’est désintégré, que le passager survivant a été éjecté de l’épave jusqu’à une zone boisée et a subi des blessures mineures. 

    En raison de l’étendue des dégâts causés par l’incendie qui s’est déclaré après l’accident, la gravité des blessures subies par le commandant de bord, le P/O et les autres passagers n’a pas pu être déterminée, ni la raison pour laquelle aucun de ces occupants n’avait été en mesure de s’échapper de l’aéronef.

    1.15.1 Radiobalise de repérage d’urgence

    L’aéronef de l’événement à l’étude était muni d’une ELT automatique fixe de 406 MHz de marque Kannad (numéro de pièce S1840501-01), certifiée conforme aux exigences des normes techniques TSO-C126a et TSO-C142a. Lorsque l’aéronef a heurté le terrain, la radiobalise a transmis un signal à plusieurs constellations de satellites. Le JRCC a reçu des coordonnées de localisation initiales situées à environ 7,8 NM du lieu réel de l’accident, et ce, en raison du lieu de l’accident par rapport aux satellites COSPAS-SARSATLe système COSPAS-SARSAT est un réseau international composé de satellites à orbite terrestre basse et à orbite géostationnaire qui reçoivent les signaux radio des radiobalises de détresse et retransmettent ces données à divers centres de coordination des opérations de sauvetage situés dans le monde entier.  en orbite, qui entraient et sortaient du champ de vision de l’ELT. Au cours des passages suivants des satellites au-dessus de la zone de l’accident, un emplacement de plus en plus précis du lieu de l’accident a pu être fourni aux ressources de recherche et sauvetage.

    1.16 Essais et recherche

    1.16.1 Rapports de laboratoire du BST

    Le BST a produit les rapports de laboratoire suivants dans le cadre de la présente enquête :

    • LP011/2024 – NVM Data Recovery – Flight Tracker [Récupération de la mémoire non volatile – Système de repérage du vol]
    • LP021/2024 – Video Analysis [Analyse vidéo]
    • LP025/2024 – CVR Recovery and Analysis [Récupération et analyse des données du CVR]
    • LP026/2024 – ADS-B Data Analysis [Analyse des données de l’ADS-B]
    • LP039/2024 – ELT Analysis [Analyse de l’ELT]
    • LP044/2023 – TAWS System Analysis [Analyse du système TAWS]
    • LP045/2024 – Fuel Analysis [Analyse du carburant]
    • LP055/2024 – Flap Actuator Examination [Examen du vérin de volet]

    1.17 Renseignements sur les organismes et sur la gestion

    1.17.1 Northwestern Air Lease

    La compagnie Northwestern Air Lease est basée à Fort Smith et au moment de l’événement, elle détenait un certificat d’exploitation aérienne délivré par TC pour les opérations aériennes régies par les sous-parties 702 (Opérations de travail aérien), 703 (Exploitation d’un taxi aérien) et 704 (Exploitation d’un service aérien de navette) du Règlement de l'aviation canadienne (RAC). La compagnie exploitait une flotte d’aéronefs monomoteurs et multimoteurs. Elle offrait des vols nolisés et des vols réguliers quotidiens desservant des collectivités dans le nord de l'Alberta et dans les Territoires du Nord-Ouest. En janvier 2025, l’entreprise a abandonné ses activités assujetties à la sous-partie 704 du RAC.

    Northwestern Air Lease est également titulaire d’un certificat d’organisme de maintenance agréé qui l’autorise à effectuer l’entretien de sa flotte d’aéronefs. En vertu de ce certificat, la compagnie est autorisée à effectuer tous les travaux de maintenance non spécialisée sur les aéronefs de la série Jetstream.

    1.17.1.1 Équipement de dégivrage de la compagnie

    Le seul équipement de dégivrage des aéronefs dont disposait Northwestern Air Lease en mesure d’appliquer du liquide de dégivrage sur les aéronefs Jetstream était une camionnette munie d’un réservoir et d’une perche de pulvérisation. Cette camionnette avait déjà été utilisée pour dégivrer les aéronefs avant leur départ. Cependant, quelques mois avant l’événement, la camionnette avait été mise hors service et n’avait pas été réparée. 

    1.17.2 Manuel d’exploitation de la compagnie

    Le manuel d’exploitation de la compagnie (COM) de Northwestern Air Lease fournit au personnel d’exploitation des consignes, des politiques et des procédures à suivre dans l’exercice de ses fonctions. 

    La section 8.12 du COM aborde la politique de la compagnie régissant la contamination par la glace, le givre et la neige des surfaces critiques de l’aéronef, en plus de décrire le programme de dégivrage au sol de la compagnie. Une surface critique s’entend des [traduction] « ailes, gouvernes, hélices, stabilisateurs, plans fixes verticaux ou de toutes autres surfaces stabilisatrices d’un aéronefNorthwestern Air Lease Ltd., Company Operations Manual, édition 2, modification 8 (8 décembre 2022), chapitre 8 : Operating Procedures, section 8.12.1 : Definitions, p. 8-32. ».

    Cette section du manuel décrit les 2 types d'inspection effectués [traduction] :

    « Inspection des surfaces critiques » - inspection avant vol et, pour certains avions, inspection tactile des surfaces critiques effectuée par une personne qualifiée pour déterminer si ces surfaces sont contaminées par le givre, la glace ou la neige. Cette inspection est obligatoire dans des conditions de givrage au sol.

    « Inspection de contamination avant le décollage » - inspection effectuée par une personne qualifiée, immédiatement avant le décollage, afin de déterminer si les surfaces critiques d’un aéronef sont contaminées par le givre, la glace ou la neige. Cette inspection est obligatoireIbid., p. 8-33..

    Après avoir traité des effets possibles de la contamination des surfaces critiques sur la performance d’un aéronef, la mise en garde suivante est incluse à titre de rappel aux pilotes [traduction] :

    Remarque : Toute contamination doit être éliminée avant le départ. S’il est impossible de garantir la propreté de l’aéronef au départ, la seule solution acceptable est d’annuler ou de reporter le vol jusqu’à ce que les conditions soient acceptables et que l’aéronef soit dépourvu de contaminationIbid..

    1.17.2.1 Défectuosités de l’aéronef

    Le chapitre 9 du manuel traite des exigences relatives aux aéronefs. En ce qui concerne les défectuosités de l'aéronef, il est indiqué ce qui suit [traduction] :

    Le certificat de navigabilité d’un aéronef n’est valide que si l’équipement, les systèmes et les instruments prescrits dans la norme de navigabilité applicable et tout l’équipement requis fonctionnent correctement.

    Le certificat de navigabilité d’un aéronef n’est pas non plus valide si l’aéronef présente une défaillance ou une défectuosité, à moins que les détails de cette défaillance ou défectuosité ne soient consignés dans le carnet de route et qu’un avertissement sans équivoque ne figure au poste de l’équipage de conduite en retirant l’élément concerné ou en y apposant une inscription ou une étiquetteIbid., section 9.3.4 : Aircraft Defects, p. 9-9..

    Dans ce chapitre, il est précisé par ailleurs qu’à l’issue de tout vol effectué à bord d’un aéronef de la compagnie, tous les défauts doivent être consignés dans le carnet de route de l’aéronef. De plus, après avoir consigné cette information, le commandant de bord doit informer le personnel de maintenance de la compagnie du problème, et le carnet de route doit être remis au service de maintenanceIbid., section 9.3.5 : General Rules, p. 9-9..

    1.17.3 Manuel de procédures d'exploitation normalisées de l’aéronef Jetstream de la série 3200

    Northwestern Air Lease a également publié un manuel de procédures d’exploitation normalisées (SOP), intitulé Standard Operating Procedures Jetstream 3200, à l’usage des pilotes dans l’exercice de leurs fonctions de pilotage. Ce manuel contient des procédures normalisées à suivre dans des situations normales, anormales et d’urgence. Le manuel des SOP est destiné à [traduction] « compléter » plutôt qu’à remplacer le contenu fourni par l’avionneur dans son AFM, auquel l’exploitation des aéronefs doit se conformerNorthwestern Air Lease Ltd., Standard Operating Procedures Jetstream 3200, modification no 4 (5 décembre 2019), Preamble, p. 1-2. .

    Le manuel de SOP contient en outre de nombreuses procédures opérationnelles dérivées du MOM. La section 3 du manuel de SOP traite des procédures normales que les pilotes doivent suivre. La section 3.7.3, en particulier, décrit le processus à suivre lorsque le commandant de bord, en tant que PF, effectue le décollage. Il y est demandé au commandant de bord d’atteindre en douceur une assiette en tangage comprise entre 8° et 10° en cabréIbid., section 3.7.3 : Captain Take-Off, p. 3-24.. L’une des notes incluses dans cette section définit la vitesse ascensionnelle positive (annonce que doit faire le PNF) comme une indication que l’assiette en tangage est de 10° en cabré, avec une augmentation à la fois de l’indicateur de vitesse verticale et de l’altimètre. Une autre note indique que l’assiette en tangage initiale est le premier élément critique à appliquer pour établir le profil de montée adéquatIbid..

    La section 4 du manuel de SOP décrit les procédures à suivre en cas de situation anormale ou d’urgence. Cependant, elle ne couvre pas toutes les situations et conditions possibles auxquelles les pilotes peuvent être confrontés. Cette section ne définit pas ni n’aborde les phases critiques de volPour obtenir plus de renseignements sur les phases critiques du vol, voir la section 1.18.2 Phase critique de vol du présent rapport., et elle ne décrit pas non plus les procédures à suivre lorsqu’une situation inhabituelle se produit pendant ces phases. Par exemple, on n’y offre aucune consigne sur les cas où l’aéronef se trouve dans un état anormal après le décollage, mais à une altitude inférieure à 500 pieds AGL.

    L’avionneur a mis à jour le MOM en avril 2022 afin d’y inclure une nouvelle procédure à suivre par les pilotes quand la position rentrée du train d’atterrissage a été sélectionnée, mais qu’ils ont une indication qu’un ou plusieurs trains d’atterrissage ne sont pas rentrés. Cette modification a été intégrée aux listes de vérification du QRH de l’exploitant qui se trouvaient à bord de l’aéronef; cependant, elle n’avait pas été apportée à la dernière version du manuel de SOP utilisé au moment de l’événement.

    1.17.3.1 Rôle du pilote surveillant

    Selon la Flight Safety Foundation, le rôle principal du pilote surveillant (PM) lors de toutes les phases de vol, y compris le décollage, est de surveiller la trajectoire de l’avion et d’avertir immédiatement le PF en cas de déviationFlight Safety Foundation, A Practical Guide for Improving Flight Path Monitoring (novembre 2014), p. 4.. De plus, si le temps ne permet pas d’avertir le PF, le PM doit être prêt à intervenir rapidement en cas de déviation par rapport à une procédure ou à la trajectoire de vol ou en cas d’incapacité du PF. Même si le PM ne manipule pas directement les commandes de vol, le PM a un rôle crucial à jouer dans le pilotage sécuritaire de l'aéronef. 

    Selon les SOP de Northwestern Air Lease, lorsque le PF avance la manette des gaz et dépasse les 60 % du couple, le PNF (terme utilisé par Northwestern Air Lease pour désigner le même rôle que celui du PM) règle le couple moteur cible pour le décollage. Après avoir vérifié que 100 % du régime moteur a été atteint et que tous les paramètres du moteur sont satisfaisants, le PNF annonce « Gauges green and parallel, Airspeed alive » [indicateurs verts et parallèles, vitesse anémométrique active]. Une fois la vitesse de 70 KIAS atteinte, le PNF doit annoncer « 70 knots » (70 nœuds); et enfin une fois la vitesse de décision (V1) atteinte, le PNF doit annoncer « V1, rotate » [V1, rotation]Northwestern Air Lease Ltd., Standard Operating Procedures Jetstream 3200, modification no 4 (5 décembre 2019), section 3.7.3 : Captain Take-Off, p. 3-24.. Comme un décollage se déroule rapidement, le PNF doit diriger son attention au bon endroit et au bon moment et consacrer suffisamment de temps à la surveillance de la progression du vol et à l’exécution de toutes les tâches requises durant la course au décollage.

    Northwestern Air Lease définit les rôles du commandant de bord et du P/O dans son COM; toutefois, l’exploitant ne définit pas dans ce manuel ni dans ses SOP les rôles de surveillance remplis par le PF et le PNF pendant le décollage.

    1.17.4 Formation sur la gestion des ressources de l’équipage

    Comme l’exige la réglementationTransports Canada, Normes de service aérien commercial, norme 724 : Exploitation d’un service aérien de navette : Avions, paragraphe 724.115(38)., Northwestern Air Lease dispense aux pilotes une formation initiale et une formation périodique sur la gestion des ressources de l’équipage (CRM)Pour plus d'informations sur le concept de gestion des ressources de l'équipage (CRM), voir la section 1.18.6 Gestion des ressources de l’équipage du présent rapport.. Le commandant de bord et le P/O avaient tous 2 suivi cette formation avant l'événement. Les pilotes suivent une combinaison approuvée par TC de formation initiale et de formation périodique sur la CRM, qui comprend les volets suivants :

    • un programme de formation en ligne développé par un fournisseur de formation tiers;
    • une discussion en salle de classe sur une étude de cas dirigée par 1 des commandants de bord de la compagnie.

    Pour mieux comprendre la formation sur la CRM dispensée aux pilotes de Northwestern Air Lease, les enquêteurs ont examiné les programmes de formation initiale et périodique sur le sujet de la compagnie. 

    Dans le cadre du programme de formation en ligne, les sujets liés à la CRM sont présentés sous forme de présentations indépendantes comprenant entre 7 et 30 diapositives. Le contenu de ces présentations est générique et principalement théorique, plutôt qu’adapté aux risques particuliers auxquels sont confrontés les pilotes de Northwestern Air Lease. Par ailleurs, la formation en ligne fournit des stratégies opérationnelles limitées aux pilotes pour atténuer les risques liés à leur environnement opérationnel ou à l’appariement des membres d’équipage (par exemple, la différence d’autorité perçue ou établie, c’est-à-dire le rapport d’autorité, entre les pilotes effectuant un vol). 

    Le paragraphe 724.115(38) des Normes de service aérien commercial exige que la formation en CRM offerte par un exploitant traite « des secteurs des opérations susceptibles de donner lieu à des difficultés particulières ou à des dangers inhabituelsTransports Canada, Normes de service aérien commercial, norme 724 : Exploitation d’un service aérien de navette : Avions, paragraphe 724.115(38). ».

    En raison de la nature de l’événement, les enquêteurs se sont concentrés principalement sur les éléments des modules de formation sur la CRM qui comprenaient les facteurs relevés pendant l’enquête, à savoir la prise de décision du pilote, la communication, la gestion des menaces et des erreurs (TEM) et la gestion de la charge de travail. Les observations suivantes ont été faites :

    • Le module sur la TEM recense les 5 [traduction] « contre-mesures » suivantes : listes de vérification, exposés, annonces, SOP et stratégies personnellesEmpress Aero [diapositives de présentation], « Threat and Error Management », diapositive 4.. Il est expliqué dans le module qu’une stratégie de TEM consiste, par exemple, à anticiper un orage et à procéder à un exposé en conséquence au préalable. Cependant, il n’est pas fourni plus de détails sur la manière d’utiliser les 4 autres contre-mesures ni sur ce qui constitue une stratégie personnelle.
    • Il est également indiqué dans le module sur la TEM que [traduction] « les équipages de conduite doivent mettre en pratique les compétences et les connaissances acquises lors de leur formation et de leur expérience opérationnelleIbid., diapositive 7. ». Il n’est toutefois pas précisé quelles sont ces compétences ni comment elles doivent être utilisées dans un contexte de CRM.
    • Le module sur la TEM comprend un processus en 5 étapes pour gérer les menaces. En revanche, le module ne fournit pas d’exemple sur la manière dont les pilotes de Northwestern Air Lease pourraient l’utiliser dans le poste de pilotage, et le processus n’est pas officialisé dans les SOP de la compagnie.
    • Le module sur la gestion de la charge de travail se compose de 9 diapositives. Il fournit des définitions et des consignes génériques sur l’établissement des priorités, la délégation et la planification, ainsi qu’une mise en garde contre les dangers des interruptions et des distractions. De plus, le module reconnaît le décollage et la montée initiale comme une période de charge de travail élevée, mais aucune stratégie de CRM n’est présentée pour aider les pilotes à composer avec les difficultés pouvant survenir (p. ex. les interruptions ou les distractions) pendant cette phase du vol.
    • Dans le module sur la gestion de la charge de travail, les expressions « pilot flying (PF) » [pilote aux commandes (PF)] et « pilot not flying (PNF) » [pilote qui n’est pas aux commandes (PNF)]Ibid., « Workload Management », diapositive 5. sont employées. En 2017, TC a publié le guide Vérification de compétence pilote et qualification de type d’aéronef – Guide de test en vol (Avions), où l’expression « pilote qui n’est pas aux commandes (PNF) » est remplacée par « pilote surveillant (PM)Transports Canada, TP 14727F, Vérification de compétence pilote et qualification de type d’aéronef – Guide de test en vol (Avions), première édition, révision 1 (juin 2017), Définitions. ». Cette modification a été apportée afin de mieux refléter la responsabilité du PM consistant à « surveiller [...] la trajectoire de vol actuel, futur et prévu de l’aéronef dans un poste de pilotage à équipage multipleIbid. ».

    1.17.5 Système de gestion de la sécurité

    Même si la réglementation ne l’exigeait pas au moment de l’accident, Northwestern Air Lease avait mis en place un système de gestion de la sécurité (SGS) qui intégrait un système de signalement en ligne permettant au personnel de la compagnie de soumettre un rapport de sécurité au comité de sécurité de la compagnie. 

    Le 26 mars 2023, un rapport du SGS a été saisi dans le système informatique pour un vol concernant un autre aéronef Jetstream de la flotte de la compagnie (immatriculation C-GNAQ), dont le voyant de l’indicateur du train d’atterrissage principal droit ne s’éteignait pas après le décollage. 

    La compagnie a réalisé une analyse des risques et une analyse des causes profondes du problème. La gravité du risque a été évaluée à 1 (blessures légères pour les personnes, dommages mineurs pour les biens de la compagnie et faible incidence sur la réputation de la compagnie); la probabilité du risque a été évaluée à 3 (assez probable); et la bande de risque a été évaluée comme étant faible.

    Dans le fichier de réponse à une constatation faite par l’audit, la section du plan de mesures correctives indiquait ce qui suit [traduction] :

    Il s’agit d’une possibilité lorsque la vitesse anémométrique du BAE32 atteint 160 IAS [KIAS] en montée. Habituellement, réduire la vitesse en montée à 140, mais pas moins de 130, réduit la résistance de l’air; le train d’atterrissage se rétracte dans le compartiment et est saisi par le dispositif de verrouillage de position rentrée.

    Tous les pilotes doivent en être informés, et il faut le mentionner dans la formationNorthwestern Air Lease, Audit Finding Response : CYHY 904 gear retract light would not go out, 8 mai 2023..

    La section des mesures correctives prises indiquait ceci [traduction] : « Les pilotes et le service de maintenance ont été informés. Le gestionnaire du SGS a reçu du service de maintenance un rapport l’avisant du problème et de la réparation. Le rapport sera ajouté au système.Ibid. »

    L’examen du contenu du document de formation fourni aux enquêteurs n’a révélé aucune mention de la note ou de la procédure associée mentionnées dans la section « Corrective Action Plan » du fichier « Audit Finding Response ». De plus, rien n’indiquait que la procédure avait été communiquée aux pilotes de la compagnie à l’aide d’une note de service de la compagnie ou dans le procès-verbal des réunions des pilotes.

    1.17.6 Adaptations aux procédures d’exploitation normalisées

    Les SOP et les listes de vérification sont des sources d’information cruciales qui offrent aux pilotes des lignes directrices d’exploitation générale d’un aéronef. Elles aident les pilotes à prendre des décisions et à établir des modèles mentaux communs entre les pilotes d'un aéronef à équipage multiple, et elles fournissent aux pilotes des solutions prédéterminées et efficaces à diverses situations tout en tenant compte des facteurs de risque qui peuvent ne pas être évidents pour un pilote pendant les opérations normales ou dans une situation anormale ou d’urgence.

    Bien qu’il soit impossible d'élaborer des listes de vérification ou des procédures pour toutes les situations, suivre la liste de vérification ou la procédure appropriée procurera aux pilotes la ligne de conduite la plus sécuritaire et la plus indiquée dans la plupart des cas. Cependant, si une certaine discipline à l’égard des listes de vérification et des procédures n’est pas enseignée, mise en pratique, renforcée et surveillée, il y a un risque que des pilotes s’écartent des procédures prescrites ou réagissent de façon inappropriée à des situations inhabituelles.

    Les gens suivent rarement les règles ou les instructions avec précision, et le font pour des raisons et d’une manière qui ont du sens pour eux compte tenu de leurs circonstances, de leurs connaissances et de leurs objectifsS. Dekker, The Field Guide to Understanding 'Human Error', troisième édition (Ashgate Publishing, 2014), p. 82 et 83..

    Les entreprises prescrivent des politiques et des SOP dans le but de fixer des limites sécuritaires pour les opérations; cependant, les pilotes peuvent tenter de repousser ces limites afin d’être plus productifs ou d'atteindre un objectif particulier. Il en résulte des versions adaptées des procédures et une dérive par rapport aux limites fixées par les SOP vers des pratiques dangereusesJ. Rasmussen, « Risk management in a dynamic society: a modeling problem », Safety Science, vol. 27, numéro 2/3 (1997), p. 197.. Si rien n’est fait pour y remédier, la communication entre les pilotes de ces adaptations qui ont bien fonctionné aura tendance à ce que celles-ci se répandent dans toute l’entreprise.

    Ces adaptations ont peu de chance d’être reconnues comme des écarts par les membres du groupe qui les emploient. Les adaptations deviennent peu à peu un comportement normal, et il est peu probable que le risque qui leur est associé soit reconnuS. Dekker, Drift into Failure (Ashgate Publishing, 2011), p. 111.. Cette tendance a été décrite comme la normalisation de la dévianceD. Vaughan, The Challenger Launch Decision: Risky Technology, Culture, and Deviance at NASA, édition augmentée (University of Chicago Press, 2016), "Preface to the 2016 Edition," p. xii.,Le modèle de la normalisation de la déviance a été formulé à l’origine par la sociologue Diane Vaughan dans The Challenger Launch Decision: Risky Technology, Culture, and Deviance at NASA (University of Chicago Press, 1996). La « déviance » désigne des conditions ou des comportements qui s’écartent des normes de performance établies, et la « normalisation » fait référence au processus graduel par lequel ces conditions ou comportements deviennent acceptés comme pratiques normales au sein d’une organisation. Dans l’événement décrit dans le présent rapport d’enquête, la « déviance » associée à la « normalisation de la déviance » renvoie à des adaptations locales des procédures prescrites (c’est‑à‑dire des écarts par rapport à celles‑ci) telles que définies par les fabricants d’équipement d’origine. En l’absence de supervision d’éducation et de moyen de faire respecter les limites attendues sur une base régulière, les personnes ont tendance à continuer à adapter les procédures et à prendre des raccourcis jusqu’à ce qu’elles découvrent la véritable limite dangereuse d’une situation au cours d’un accident, mineur ou majeur. 

    À Northwestern Air Lease, un nombre relativement faible de pilotes était affecté au pilotage des aéronefs Jetstream de la flotte de la compagnie : au moment de l’accident, on comptait 4 commandants de bord et 4 P/O. Par conséquent, l’adaptation visant à modifier le mode d’exploitation de l’aéronef afin de remédier au problème intermittent de rentrée du train d’atterrissage a été communiquée de manière informelle entre ces pilotes, y compris le commandant de bord et le P/O du vol à l’étude. L’enquête a permis de déterminer que, même si la procédure n’était pas indiquée dans les SOP de la compagnie, les pilotes en avaient connaissance.

    Le problème du train d’atterrissage principal n’a pas pu être reproduit lors des activités de maintenance effectuées avant le vol à l’étude, car il ne se manifestait que dans certaines circonstances, à savoir à basse température (inférieure à environ −20 °C) et à des vitesses anémométriques supérieures à environ 140 KIAS. Dans ces conditions, si le problème apparaissait, les pilotes pouvaient terminer la séquence de rentrée du train d’atterrissage en réduisant la vitesse anémométrique à moins de 140 KIAS. L’adaptation locale leur permettait de poursuivre le vol sans avoir à utiliser la liste de vérification des procédures à suivre en cas de situation anormale « Landing Gear Selector Lever Up – Landing Gear Not Locked Up » [levier de commande du train d’atterrissage dans la position rentrée – train d’atterrissage non verrouillé] figurant dans le Jetstream Series 3200 Flight Manual Model No. 3212 . Selon cette liste de vérification, les pilotes doivent atterrir à l’aérodrome approprié le plus près (nécessitant probablement de retourner au point de départ) si un problème de rentrée du train d’atterrissage est détecté en suivant les étapes décrites. 

    Compte tenu de la courte durée du vol et du fait que le problème est survenu immédiatement après le décollage, le commandant de bord et le P/O du vol à l’étude n’ont pas eu le temps de consulter la liste de vérification des procédures à suivre en cas de situation anormale pour résoudre le problème de rentrée du train d’atterrissage principal.

    1.18 Renseignements supplémentaires

    1.18.1 Contamination des surfaces critiques de l’aéronef

    1.18.1.1 Concept de l’aéronef propre

    Le 10 mars 1989, un aéronef Fokker F-28 MK 1000 d’Air Ontario s’est écrasé au décollage de Dryden (Ontario), juste au-delà de l’extrémité de la piste. Il y avait à bord 65 passagers et 4 membres d’équipage. Trois membres de l’équipage et 21 passagers sont morts à la suite de l’écrasement. L’aéronef a été détruit par l’incendie qui s’est déclaré après l’impact.

    Une commission d’enquête sur cet accident a formulé plusieurs recommandations destinées à remédier aux lacunes de sécurité relevées pendant l’enquête. Une de ces recommandations était la suivante :

    Que le ministère des Transports établisse et promulgue immédiatement une ordonnance sur la navigation aérienne applicable à tous les appareils et qui interdirait le décollage lorsque du givre, de la neige ou de la glace adhèrent aux surfaces portantes de l’appareil et que le ministère des Transports fournisse des lignes directrices pour aider le personnel navigant et non navigant à suivre la nouvelle réglementationCommission d’enquête sur l’écrasement d’un avion d’Air Ontario à Dryden (Ontario) – rapport final (1992), volume III, p. 1329, RCM 2..

    Le ministère des Transports a répondu à cette recommandation en publiant une modification au Règlement de l’Air. Ce nouveau règlement, publié dans la Gazette du Canada le 21 novembre 1990Règlement de l’Air, paragraphe 540.2(5), Gazette du Canada, partie II, vol. 124, no 24., est devenu par la suite le paragraphe 602.11(2) du RAC : « Il est interdit d’effectuer ou de tenter d’effectuer le décollage d’un aéronef si du givre, de la glace ou de la neige adhèrent à toutes surfaces critiques.

    En conséquence de cette recommandation, un éventail de moyens de défense administratifs est maintenant en place pour s’assurer que les pilotes et autres membres du personnel opérationnelLe « personnel opérationnel » peut inclure le personnel de maintenance de la compagnie, le personnel chargé de l’avitaillement des aéronefs, le personnel chargé de la manutention des bagages ou toute autre personne ayant suivi une formation conforme aux procédures de la compagnie. comprennent bien la nécessité de s’assurer qu’avant toute tentative de décollage, l’aéronef est « propre », c’est-à-dire que ses surfaces critiques sont exemptes de contamination. C’est ce qu’on appelle le « concept de l’aéronef propre ».

    1.18.1.2 Orientation de Transports Canada
    1.18.1.2.1 Règlement de l’aviation canadien

    Le RAC jette les assises réglementaires de la mise en œuvre du concept de l’aéronef propre. Comme l’indique l’article 602.11 du RAC :

    (1) Pour l’application du présent article, surfaces critiques [caractères gras et italiques dans l'original] s’entend des ailes, gouvernes, rotors, hélices, stabilisateurs, plans fixes verticaux ou toutes autres surfaces stabilisantes de l’aéronef et de toutes autres surfaces identifiées comme étant des surfaces critiques dans le manuel de vol de l’aéronef.

    (2) Il est interdit d’effectuer ou de tenter d’effectuer le décollage d’un aéronef si du givre, de la glace ou de la neige adhèrent à toutes surfaces critiques.

    […]

    (4) Il est interdit d’effectuer ou de tenter d’effectuer le décollage d’un aéronef lorsque les conditions sont telles qu’il est raisonnable de prévoir que du givre, de la glace ou de la neige pourraient adhérer à l’aéronef, à moins que :

    […]

                    (b) dans le cas d’un aéronef utilisé en application de la sous-partie 5 de la partie VII, l’utilisateur n’ait établi un programme d’inspection des aéronefs conforme aux Normes relatives aux règles d’utilisation et de vol des aéronefs et que la régulation ainsi que le décollage de l’aéronef ne respectent ce programme.

    […]

    (6) Le membre d’équipage d’un aéronef qui, avant de commencer le décollage, détecte du givre, de la glace ou de la neige adhérant aux ailes de l’aéronef doit immédiatement en faire rapport au commandant de bord, et ce dernier, ou un autre membre d’équipage de conduite désigné par lui, doit inspecter les ailes de l’aéronef avant le décollageTransports Canada, DORS/96-433, Règlement de l’aviation canadien, article 602.11 (modification le 9 décembre 2020)..

    1.18.1.2.2 Normes relatives aux règles d’utilisation et de vol des aéronefs

    Les Normes relatives aux règles d’utilisation et de vol des aéronefs énoncent les méthodes particulières que les exploitants doivent suivre pour se conformer aux règlements connexes. En ce qui concerne le programme d’inspection requis en vertu du sous-alinéa 602.11(4)a)(ii) du RAC, l’introduction de la norme 622.11 – Opérations dans des conditions de givrage au sol, indique ce qui suit :

    Afin d'être autorisés à utiliser un aéronef dans des conditions de givrage, conformément aux exigences précisées à l'article 602.11 du Règlement de l’aviation canadien (RAC), les exploitants doivent mettre en place un programme de dégivrage au sol qui soit conforme à la présente norme. De plus, les opérations de régulation et le décollage des aéronefs doivent respecter les exigences du programme de dégivrage au sol. La présente Norme énonce les éléments, en ce qui a trait aux opérations et à la formation, qui doivent faire partie du Programme sur les conditions de givrage au sol et être mentionnés dans les manuels pertinents de l'exploitantIbid., norme 622.11 : Opérations dans des conditions de givrage au sol, section I : Introduction, article 1.0, Introduction (dernière modification le 9 décembre 2020)..

    La norme énumère les éléments de programme qui doivent être inclus dans le programme sur les opérations dans des conditions de givrage au sol et les manuels de l’exploitant, et ce qui doit être inclus dans les éléments. Ces éléments sont le plan de gestion de l’exploitant, les procédures de dégivrage et d’antigivrage de l’aéronef, les tableaux des durées d’efficacité, les procédures d’inspection des aéronefs et de production de rapports ainsi que la formation et les essais.

    Dans le cadre des exigences d’inspection décrites dans l’un de ces éléments, la norme énonce ce qui suit : « Il revient au commandant de bord d’assurer que les surfaces critiques de l’aéronef ne portent pas de trace de contamination au décollageIbid., section II : Procédures, article 8.2, Production de rapports d'inspection (dernière modification le 9 décembre 2020).. »

    1.18.1.2.3 Lignes directrices pour les aéronefs lors de givrage au sol de Transports Canada

    Les Lignes directrices pour les aéronefs lors de givrage au sol (publication de TC TP 14052) visent à fournir aux exploitants de l’information qu’ils peuvent utiliser pour créer un programme de déglaçage au sol adapté à leurs opérations particulières. Dans ce document, le terme contamination est défini comme étant « [...] une accumulation de givre, de glace, de neige fondante ou de neige sur les surfaces critiques d’un aéronefTransports Canada, TP 14052F, Lignes directrices pour les aéronefs lors de givrage au sol, édition neuf (octobre 2024), Chapitre 18 : Glossaire. ».

    Le chapitre 12 de la publication met en évidence certains des problèmes opérationnels qui peuvent survenir dans des conditions de givrage au sol, y compris ceux liés aux conditions météorologiques typiques du Canada. Il met en garde les pilotes contre les dangers d’une neige sèche et froide (ou les cristaux de glace) qui tombe sur une aile sèche et froide d’un aéronef et leur conseille de prendre les précautions appropriées en fonction des circonstances actuelles :

    Il arrive parfois que de la neige sèche et froide ou des cristaux de glace tombent sur l’aile froide d’un avion. Souvent, le vent fait tourbillonner la neige ou les cristaux de glace et la chasse de l’aile, et il est alors évident que la neige (ou les cristaux de glace) n’adhère pas à la surface de l’aile. Dans de telles circonstances, l’application de liquide de dégivrage et/ou d’antigivrage sur l’aile de l’avion va avoir pour résultat de faire coller la neige (ou les cristaux de glace) au liquide. Si de telles conditions opérationnelles se produisent, il ne serait peut-être pas judicieux d’appliquer des liquides sur l’aile.

    Toutefois, toute accumulation de neige (ou cristaux de glace) à un endroit ou à un autre de l’aile doit être enlevée avant le décollage. Il ne faut jamais supposer qu’une accumulation de neige (ou cristaux de glace) va être « soufflée » au décollageIbid., section 12.1.6 : Neige sèche et froide (ou cristaux de glace) tombant sur une aile sèche et froide..

    1.18.2 Phase critique de vol

    TC n’a pas de définition d’une phase critique de vol, mais la Federal Aviation Administration (FAA) des États-Unis et l’Agence de l’Union européenne pour la sécurité aérienne (AESA) en ont une. Pour cette dernière, « les “phases critiques de vol“, dans le cas d’avions, désignent le roulement au décollage, la trajectoire de décollage, l’approche finale, l’approche interrompue, l’atterrissage, y compris le roulage à l’atterrissage, et toute autre phase du vol que le pilote/commandant de bord désigneAgence de l’Union européenne pour la sécurité aérienne (EASA), Règlement (UE) n° 965/2012 de la Commission du 5 octobre 2012 déterminant les exigences techniques et les procédures administratives applicables aux opérations aériennes conformément au règlement (CE) n° 216/2008 du Parlement européen et du Conseil (dernière modification le 14 août 2024), Annexe I : Définitions des termes utilisés dans les annexes II à VIII.  ». Du point de vue de la performance humaine, et en particulier du temps de réaction effectif, la course au décollage (roulement au décollage) et la trajectoire de vol qui s’ensuit sont particulièrement critiques en raison de la faible altitude et faible vitesse anémométrique de l’aéronef. Mises ensemble, ces conditions dynamiques représentent une période de risque relativement brève, mais critique, vu le peu de temps dont disposent généralement les pilotes pour percevoir les situations anormales à l’aide d’indices visuels ou auditifs, comprendre ces anomalies et prendre des mesures correctives efficaces en temps opportun. 

    1.18.3 Surveillance de la trajectoire de vol

    En novembre 2014, à la suite d’une étude visant à déterminer quels facteurs mènent à une surveillance inadéquate de la trajectoire de vol, la Flight Safety Foundation a publié 20 recommandations dans un guide intitulé A Practical Guide for Improving Flight Path Monitoring. Selon ce guide, la surveillance consiste à faire l’observation et l’interprétation de la trajectoire de vol, de la configuration de l’aéronef, des modes d’automatisation, des systèmes et de l’autre membre d’équipage. Cela implique que les pilotes dirigent leur attention au bon endroit et au bon moment et qu’ils prennent le temps nécessaire pour observer et interpréter l’information et ne se limitent pas au contraire à jeter un coup d’œil rapideFlight Safety Foundation, A Practical Guide for Improving Flight Path Monitoring (novembre 2014), section 1.2 : Defining Monitoring [italique dans l'original], p. 3..

    La surveillance s’applique autant au PF qu’au PM sans égard au siège qu’ils occupent. La surveillance s’effectue pendant toutes les phases du vol, y compris avant et après le décollage. Elle est souvent exécutée simultanément avec d’autres tâches comme la manipulation des commandes de l’aéronef, la saisie de données et les communications avec le contrôle de la circulation aérienne.

    Afin d’améliorer la performance des PM, la Flight Safety Foundation recommande, entre autres, que les exploitants définissent clairement, dans leurs documents, le rôle et les responsabilités de surveillance de chacun des pilotes. Elle fournit dans son guide l’exemple ci-dessous [traduction] :

    [...] La responsabilité première du ou de la PF consiste à contrôler et à surveiller la trajectoire de vol de l’aéronef (y compris à surveiller les systèmes automatisés de guidage de vol qui sont enclenchés). Sa responsabilité secondaire consiste à surveiller les actions autres que celles liées à la trajectoire de vol : communications radio, systèmes de l’aéronef, autres membres d’équipage et autres activités opérationnelles. Il/Elle ne doit, cependant, jamais laisser cette responsabilité secondaire interférer avec sa responsabilité première de contrôle et de surveillance de la trajectoire de vol.

    [...] La responsabilité première du ou de la PM consiste à surveiller la trajectoire de vol de l’aéronef (y compris les systèmes de vol automatiques qui sont enclenchés) et à signaler immédiatement toute préoccupation au/à la PF. Sa responsabilité secondaire consiste à exécuter des actions autres que celles liées à la trajectoire de vol : communications radio, systèmes de l’aéronef, autres activités opérationnelles, etc. Il/Elle ne doit, cependant, jamais laisser cette responsabilité secondaire interférer avec sa responsabilité première de surveillance de la trajectoire de volIbid., recommandation 2 : Clearly define the monitoring role of each pilot, p. 18..

    1.18.4 Établissement de l’ordre de priorité des tâches du pilote

    Dans le domaine de l’aviation, une philosophie largement reconnueAviation Publishers Co. Ltd., From the Ground Up, 30e édition (2023), partie 5 : General Airmanship, section 10.6.8 : Avoiding VFR into IMC, p. 323. pour établir l’ordre de priorité des tâches comprend les impératifs suivants, classés par ordre d’importance :

    1. piloter,
    2. naviguer,
    3. communiquer,
    4. gérer.

    Ce principe, abordé dans d’autres rapports du BSTRapports d’enquête aéronautique A11H0002, A10C0060 et A09A0016 du BST., est critique pour le pilotage sécuritaire des aéronefs, quelle que soit leur taille ou leur complexité. Il est si important qu’en 2013, un article de Safety First, le magazine publié par le service de la sécurité des produits d’Airbus Industries, a été consacré à la communication de l’importance de ce principe et de ses impératifs.

    La section 3.1.1 de l'article est la suivante [traduction] :

    Le pilote aux commandes (PF) doit se concentrer sur le pilotage de l’aéronef [caractères gras dans la version originale] en assurant le contrôle et/ou la surveillance de l’assiette en tangage, de l’angle d’inclinaison, de la vitesse anémométrique, de la poussée, de la glissade, du cap, etc. afin d’atteindre et de maintenir la trajectoire de vol verticale et latérale souhaitéeAirbus S.A.S., « The Golden Rules for Pilots Moving from PNF to PM », Safety First : The Airbus Safety Magazine, numéro 15 (janvier 2013), p. 5 à 7..

    1.18.5 Connaissances tacites

    Les connaissances tacites sont générées et partagées au sein d’un groupe précis de personnes en fonction de leur expérience personnelle, de leur expertise et de leurs compétences. Cependant, en raison de leur nature informelle, les connaissances tacites restent inconnues des personnes qui ne font pas partie du groupe en question. Dans les contextes opérationnels, les connaissances tacites diffèrent des consignes structurées en ce sens qu’elles consistent en des renseignements non codifiés qui sont spécifiques au mode de fonctionnement du groupe d’utilisateurs dans diverses circonstances. Lorsque l’information technique ou les consignes ne sont pas disponibles ou sont peu claires, l’application de connaissances tacites à des situations particulières peut permettre aux équipes de travail d’atteindre leurs objectifs opérationnels et ainsi profiter à l’ensemble de l’exploitation.

    Dans le nord du Canada, les pilotes visés par la sous-partie 704 du RAC travaillent dans un environnement complexe qui présente divers défis : des horaires de vols nolisés s’étendant sur 24 heures, des vols répétés dans des conditions météorologiques de vol aux instruments (IMC) et des vols à partir d’aérodromes dont les capacités de bulletins météorologiques sont limitées et les installations de dégivrage des aéronefs sont insuffisantes. Dans cet environnement, les pilotes acquièrent des connaissances et de l’expérience de plusieurs façons : formation codifiée de la compagnie, normes réglementaires et application des connaissances locales des pilotes qui ont acquis des compétences dans une opération particulière. Ces connaissances et cette expérience sont ensuite transmises aux nouveaux pilotes moins expérimentés dans le cours normal de l’exploitation des aéronefs.

    Comme l’ont démontré les recherches sur le thème de l’adaptabilité dans l’aviation commerciale [traduction],

    il existe une interaction nuancée entre l’expérience et l’expertise dans la résolution des contradictions inhérentes. […] Les pilotes gèrent des situations complexes en se fondant sur leurs connaissances approfondies du domaine et leur sagesse pratique. […] En s’adaptant à des détails imprévisibles et souvent confus qui dépassent la portée des manuels, ils élaborent des stratégies adaptées. Celles-ci comprennent la création de procédures d’exploitation normalisées (SOP) maison et l’établissement de minimums personnels guidés par les connaissances heuristiques et l’intuition. L’ensemble de ces codes révèlent une situation où le respect des règles entre en conflit avec la nécessité d’avoir recours à une mesure souple et sensible au contexte, ce qui se veut essentiel pour maintenir la sécurité et l’efficience malgré les défis complexes de l’aviationR. Steen, J.E. Norman, J. Bergström, G.F. Damm, « Dark knights: Exploring resilience and hidden workarounds in commercial aviation through mixed methods », Safety Science, vol. 175 (24 mars 2024), p. 5..

    Tous les commandants de bord et P/O de Northwestern Air Lease affectés au pilotage des aéronefs Jetstream de la série 3200 savaient que, immédiatement après le décollage, le train d’atterrissage de l’aéronef à l’étude pouvait fonctionner de manière anormale lorsque la sélection de rentrée se faisait à des températures extérieures sous les −20 °C et à des vitesses supérieures à environ 140 KIAS. Ils savaient que parfois, dans ces conditions précises, le train d’atterrissage ne rentrait pas complètement pendant la phase de montée initiale du vol.

    Dans ses consignes, l’avionneur demande aux pilotes d’adhérer, dans de telles situations, à la procédure à suivre en cas de situation anormale « Landing Gear Selector Lever Up – Landing Gear Not Locked Up » [levier de commande du train d’atterrissage dans la position rentrée – train d’atterrissage non verrouillé]. Cependant, en guise de réponse interne et non consignée à l’indication d’une position anormale du train d’atterrissage principal, les pilotes de Jetstream à Northwestern Air Lease avaient mis au point une solution consistant à réduire la vitesse anémométrique de l’aéronef en dessous de 140 KIAS en augmentant l’angle de tangageLes pilotes peuvent contrôler la vitesse anémométrique de l’aéronef en utilisant la commande de profondeur pour modifier l’angle de tangage du fuselage dans le flux d’air entrant. Le cabré réduit généralement la vitesse anémométrique étant donné que l’énergie est échangée contre un gain d’altitude, tandis que le piqué diminue l’altitude avec un gain théorique de vitesse anémométrique qui peut être géré en réduisant la puissance du moteur.        de l’aéronef, tout en maintenant les réglages de puissance sélectionnés au préalable. La réduction de la vitesse permettait alors au train d’atterrissage principal de se verrouiller en position rentrée, ce qui éteignait les voyants rouges de l’indicateur de position du train d’atterrissage à l’intérieur du poste de pilotage. Le fonctionnement anormal du train d’atterrissage ainsi corrigé, le vol pouvait se poursuivre normalement.

    L’adaptation consistant à réduire la vitesse anémométrique pour corriger le fonctionnement anormal du train d’atterrissage était acceptée par la compagnie, mais n’était pas consignée en tant que procédure officielle dans la documentation de la compagnie. Les membres du personnel de maintenance étaient conscients de ce problème particulier sur l’aéronef à l’étude, mais n’étaient pas parvenus à le reproduire dans le hangar. De plus, l’aéronef n’avait pas présenté ce problème dans le hangar lors des contrôles opérationnels du système de rentrée du train d’atterrissage effectués dans le cadre de la maintenance de routine. 

    En raison du caractère intermittent du problème du train d’atterrissage principal,

    • ni le défaut lui-même ni la mesure corrective prise en vol n’avaient été consignés dans le carnet de route de l’aéronef à l’étude;
    • parmi les pilotes de Jetstream, ce problème n’était pas surprenant et pouvait être anticipé en présence d’une combinaison de conditions précises;
    • ces pilotes n’avaient probablement pas estimé que cette défectuosité temporaire justifiait de rédiger une liste de vérification pour situation anormale ou d’urgence, étant donné que la réduction de la vitesse anémométrique était une solution faisable et simple qui s’était systématiquement avérée efficace.

    1.18.6 Gestion des ressources de l’équipage

    L’objectif de la CRM consiste à améliorer la sécurité des vols en renforçant la coopération et la prise de décision à bord d’un aéronef à équipage multiple. Selon la définition couramment acceptée, la CRM désigne l’utilisation de toutes les ressources humaines, matérielles et informationnelles mises à la disposition des pilotes pour assurer la sécurité et l’efficacité des opérations aériennesTransports Canada, Document d’élaboration et de mise en œuvre du programme avancé de qualification (PAQ) (mai 2010), Définitions, à l’adresse https://tc.canada.ca/fr/aviation/services-aeriens-commerciaux/document-elaboration-mise-oeuvre-programme-avance-qualification-paq (dernière consultation le 3 février 2026)..

    À bord d’un aéronef à équipage multiple, comme l’aéronef Jetstream modèle 3212, les pilotes doivent réussir à interagir entre eux, avec leur appareil et avec leur environnement. Pour cela, ils doivent utiliser les listes de vérification et les SOP de l’entreprise pour assurer une gestion efficace du vol, des conditions changeantes, des menaces, des erreurs et des états indésirables de l’aéronef qui peuvent survenir.

    La circulaire d’information AC 120-51E de la FAA [traduction] indique ce qui suit :

    L’évaluation de l’impact de la formation en CRM indique que, après la formation initiale, une amélioration marquée de l’attitude se produit en ce qui concerne la coordination de l’équipage et de la gestion du poste de pilotage. Dans les programmes offrant aussi périodiquement une formation sur les concepts de la CRM et des exercices pratiques, d’importants changements ont été constatés dans la performance des équipages de conduite pendant l’entraînement type vol de ligne (LOFT) et pendant les vols réels. Les équipages formés en CRM travaillent plus efficacement en équipe et font mieux face aux situations inhabituelles.

    [...] Les recherches montrent en outre qu’en l’absence de renforcement des concepts de la CRM au moyen d’une formation périodique, l’amélioration de l’attitude constatée après la formation de familiarisation initiale tend à disparaîtreFederal Aviation Administration (FAA), Advisory Circular (AC) 120-51E : Crew Resource Management Training (22 janvier 2004)..

    Des chercheurs ont recommandé, qu’à l’avenir, la formation en CRM se fonde sur le principe selon lequel l’erreur humaine est inévitable et qu’elle ne peut être éliminée entièrement. Ils considèrent la CRM comme [traduction] « un ensemble de mesures présentant trois lignes de défense pour contrer les erreursR. L. Helmreich et al., The Evolution of Crew Resource Management Training in Commercial Aviation (1999), University of Texas at Austin Human Factors Research Project 235. ». La 1re ligne de défense consiste à éviter les erreurs, la 2e consiste à les neutraliser avant qu’elles n’aient des conséquences néfastes, et la 3e consiste à atténuer les conséquences des erreurs qui n’ont pas été neutralisées et se sont produites.

    La théorie et la formation modernes en CRM reposent maintenant sur ce principe, et TC définit la CRM contemporaine comme une méthode qui 

    intègre le développement de compétences techniques à la formation sur les communications et la coordination entre les membres de l’équipage, et [...] en appliquant des concepts de gestion des menaces et des erreursTransports Canada, Circulaire d’information (CI) no 700-042 : Gestion des ressources de l’équipage (CRM), (numéro d’édition 02 : 14 mars 2020), section 2.3 : Définitions et abréviations, à l’adresse https://tc.canada.ca/sites/default/files/migrated/ci_700_042.pdf (dernière consultation le 2 février 2026)..

    1.18.6.1 Gestion des menaces et des erreurs

    La TEM est considérée comme un élément-clé d’une CRM efficace, en tant que structure d’appui à une prise de décision efficace. En tant que cadre objectif, la TEM renforce la résilience des pilotes face aux événements prévus comme imprévus et peut être utilisée par les pilotes pour effectuer des évaluations des risques avant et après le décollage. En outre, la TEM présente plusieurs autres applications potentielles, notamment la gestion de la sécurité organisationnelle.

    La TEM permet aux pilotes de : 

    • gérer une variété de situations qu'ils prévoient ou rencontrent qui pourraient accroître le risque de sécurité lié au vol;
    • analyser l’évolution des situations qui ont mené à un événement;
    • examiner les éléments-clés des menaces, des erreurs et des états indésirables des aéronefs;
    • faire ressortir les mesures de gestion de ces éléments dont l’efficacité a été démontrée.

    Les principes-clés de la TEM sont la prévision, la reconnaissance et la correction des menaces et des erreurs. La TEM préconise l’analyse attentive des dangers potentiels et la prise des mesures qui s’imposent pour éviter, neutraliser ou atténuer les menaces et les erreurs avant qu’elles ne mènent à un état indésirable de l’aéronef.

    Un pilote peut neutraliser une erreur en l’identifiant et en la corrigeant, aggraver une erreur en commettant une autre erreur par la suite, ou n’avoir aucun effet sur l’erreur en ne la détectant pas ou en n’en tenant pas compteOrganisation de l’aviation civile internationale (OACI), Doc 9803, Audit de sécurité en service de ligne (LOSA), première édition (2002), p. 2-4..

    Les comportements les plus courants qui permettent de gérer efficacement les erreurs consistent à faire preuve de vigilance et d’assertivité et à poser des questions. Bien que les menaces et les erreurs se produisent dans la plupart des phases de vol, elles mènent rarement à des conséquences importantes parce qu’elles sont gérées efficacement par l’équipage. Une bonne gestion des risques dans le poste de pilotage est inextricablement liée à une CRM efficace. Dans le domaine de la gestion des erreurs [traduction],

    [q]uel que soit le type d’erreur, l’effet d’une erreur sur la sécurité varie selon que l’équipage de conduite détecte ou non l’erreur et y réagit avant qu’elle ne conduise à un état indésirable de l’aéronef et à un résultat potentiellement dangereux. C’est pourquoi l’un des objectifs de la TEM est de comprendre la gestion des erreurs (c’est-à-dire, la détection et la réponse), plutôt que de se concentrer uniquement sur la causalité des erreurs (c’est-à-dire, la causalité et la commission). Du point de vue de la sécurité, les erreurs opérationnelles qui sont détectées à temps et auxquelles on répond rapidement (c’est-à-dire, qui sont correctement gérées), donc les erreurs qui ne conduisent pas à des états indésirables des aéronefs, ne réduisent pas les marges de sécurité des opérations de vol et deviennent donc sans conséquence sur le plan opérationnel. Outre sa valeur de sécurité, une bonne gestion des erreurs représente un exemple de performance humaine réussie, présentant à la fois une valeur d’apprentissage et de formationD. Maurino, « Threat and Error Management (TEM) », présenté lors du séminaire sur la sécurité aérienne canadienne, Vancouver (Colombie-Britannique) (avril 2005)..

    Dans l’événement à l’étude, la formation sur la TEM dispensée aux pilotes d’aéronefs Jetstream à Northwestern Air Lease était de nature générique et n’était pas intégrée aux SOP des Jetstream.

    1.18.6.2 Surveillance et contre-vérification

    L’attention est une ressource cognitive limitée qui doit être gérée avec soin, surtout pendant les périodes où la charge de travail et le stress sont élevés. L’un des principaux avantages d’un aéronef à équipage multiple est la possibilité de répartir la charge de travail entre 2 pilotes, ce qui réduit l’attention exigée de chacun d’eux. Par exemple, pendant un décollage en IMC, soit une période de charge de travail élevée, le PF peut se concentrer sur des tâches critiques telles que le maintien d’un balayage efficace des instruments pendant que le PM surveille attentivement le profil de vol et, au besoin, se charge de tâches secondaires telles que l’activation des commutateurs. 

    Des problèmes peuvent survenir en cas d’imprévu (p. ex. un voyant d’avertissement qui s’allume), étant donné que les pilotes peuvent diriger leur attention vers cette distraction et se concentrer dessus. Pendant une phase critique de vol, les distractions doivent être gérées avec soin par le biais de la communication et de la délégation des tâches, conformément au principe universellement accepté « piloter, naviguer, communiquer et gérer ». En 1972, un événement concernant le vol 401 d’Eastern Air Lines, Inc., au cours duquel un avion Lockheed L-1011 a heurté le terrain près de l’aéroport international de Miami (KMIA) (Floride), aux États-UnisNational Transportation Safety Board (NTSB) des États-Unis, Aircraft Accident Report NTSB/AAR-73-14, Eastern Air Lines, Inc. L-1011, N310EA, Miami (Floride), 29 décembre 1972 (14 juin 1973)., a été l’un des premiers à faire ressortir la nécessité de dispenser une formation sur la CRM. Lors de cet accident, l’aéronef a effectué une descente involontaire dans les Everglades (Floride) alors que le commandant de bord, le P/O et le mécanicien navigant étaient préoccupés par une ampoule brûlée dans le système d’indication de position du train d’atterrissage avant. Cette étude de cas est utilisée depuis plusieurs décennies dans le cadre de la formation sur la CRM pour mettre en évidence ce qui peut arriver si l’attention des pilotes est détournée de leur tâche principale, qui est de piloter l’aéronef. Voilà pourquoi les programmes modernes de formation sur la CRM soulignent l’importance de la gestion de la charge de travail et d’une délégation claire des tâches pour assurer la sécurité de tout vol. L’une des meilleures façons d’officialiser les compétences en CRM, telles que la répartition des tâches, consiste à intégrer celles-ci aux SOP de la compagnie, puis à évaluer les pilotes en fonction de leur respect de ces SOP. Cette procédure peut être suivie soit pendant l’entraînement sur simulateur, soit à bord de l’aéronef. Les pilotes acquièrent les compétences en CRM au fur et à mesure qu’ils accomplissent leurs tâches, grâce à la pratique et au renforcement de ces compétences.

    1.18.7 Prise de décisions du pilote

    La prise de décisions du pilote (PDP) est un processus cognitif utilisé par les pilotes qui leur permet de trouver et de choisir un plan d’action parmi diverses options. Ce processus est généralement mené dans un environnement dynamique et passe par 4 étapes : recueillir l’information, traiter l’information, prendre une décision et mettre en œuvre la décision. Pour y parvenir dans un aéronef à équipage multiple, les pilotes créent un modèle mental communT. L. Seamster, R. E. Redding et G. L. Kaempf, Applied Cognitive Task Analysis in Aviation (Ashgate Publishing, 1997).. Le modèle mental d’un pilote dépend en grande partie de son interprétation de la situation en cours et de la façon dont ces circonstances peuvent être liées à son expérience antérieure. Par conséquent, l’expérience, les compétences et les connaissances dont se sert le pilote dans une situation donnée constituent des éléments essentiels de sa prise de décision.

    En tant que complément d’un modèle mental commun, la conscience situationnelle est un concept qui décrit les facteurs qui influencent l’attention des pilotes dans un aéronef à équipage multiple; elle fait donc partie intégrante de la PDP. La conscience situationnelle peut être définie comme étant [traduction] « la perception des éléments dans l’environnement à l’intérieur d’un volume de temps et d’espace, la compréhension de leur signification, et la projection de leur état à court termeM. R. Endsley, « Design and evaluation for situation awareness enhancement », dans Proceedings of the Human Factors Society: 32nd Annual Meeting (Santa Monica [Californie] : 1988), p. 97 à 101. ». 

    Plusieurs risques peuvent influer sur la PDP : par exemple, les indices environnementaux peuvent ne pas être perçus correctement; l’information recueillie peut être inexacte ou incomplète; des tâches concurrentes peuvent entraver la collecte et le traitement de l’information; ou les personnes appelées à prendre des décisions peuvent être sous l’influence des biais physiologiques ou cognitifs au moment de traiter cette information. 

    Les éléments-clés de la CRM, tels que la TEM, constituent des moyens de défense pour favoriser une gestion sûre et efficace de la PDP, en plus de l’utilisation de listes de vérification et des SOP, ainsi que, de façon plus générale, de la structure réglementaire qui s’applique à une opération donnée. La complexité inhérente aux opérations visées par la sous-partie 704 du RAC au Canada signifie que, parfois, les moyens de défense peuvent ne pas prévoir toutes les éventualités opérationnelles. Grâce à une interprétation commune de leur environnement, les pilotes peuvent anticiper et coordonner efficacement leurs actions afin de gérer de manière sécuritaire toute menace ou surprise qui se présente. 

    Les SOP et les listes de vérification sont des sources d’information cruciales qui offrent aux pilotes des lignes directrices d’exploitation générale d’un aéronef. Elles aident les pilotes dans leur prise de décisions. Elles les aident aussi à établir des modèles mentaux communs en leur fournissant des solutions prédéterminées et efficaces à diverses situations tout en tenant compte des facteurs de risque qui peuvent ne pas être évidents pendant les opérations normales ou dans une situation anormale ou d’urgence.

    Dans un aéronef à équipage multiple, l’atteinte d’un objectif, quel qu’il soit, nécessite que les modèles mentaux des pilotes soient en harmonie. Une communication efficace joue invariablement un rôle essentiel dans l’harmonisation de ces modèles mentaux, surtout au cours d’événements où les délais d’exécution sont critiques (par ex. des pannes moteur, un vol par inadvertance dans des IMC), et qu’une réaction rapide est indispensable. L’élaboration d’un plan nécessite de tenir compte des éventualités, ce qui est possible lorsque les pilotes communiquent entre eux leurs préoccupations et les renseignements critiques. 

    Dans l’événement à l’étude, le commandant de bord et le P/O avaient convenu d’accélérer leur départ de l’aire de trafic et d’effectuer le décollage dès que possible étant donné que la vitesse à laquelle la neige s’accumulait sur l’aéronef les préoccupait. Ce faisant, ils ont exécuté les listes de vérification rapidement avant de se positionner sur la piste 30. Ils ont travaillé en collaboration et à un rythme rapide pour atteindre leurs objectifs communs, à savoir décoller dès que possible (compte tenu de la neige qui tombait et de l’accumulation présumée) et mettre en œuvre leur technique de décollage adaptée, qui consistait à effectuer une montée à faible pente pour atteindre une vitesse de montée plus rapide que la normale afin que la neige accumulée soit soufflée.

    1.18.8 Adaptations procédurales

    Dans les domaines dynamiques comme l’aviation commerciale, les adaptations ou solutions de rechange étaient traditionnellement considérées comme des violations délibérées des SOP; et si de telles actions se répétaient au fil du temps, ce comportement était classé comme une normalisation de l’écart (c.-à-d. l’écart par rapport aux SOP). À la fin du XXe siècle, on a pris conscience, dans certains domaines des sciences comportementales, qu’en raison de la complexité inhérente à la nature de ces domaines (dont le secteur des opérations visées par la sous-partie 704 du RAC de l’aviation commerciale), les solutions de remplacement peuvent constituer un moyen normal de concilier des priorités concurrentes tout en atteignant des objectifs opérationnels. Malgré cette nouvelle perspective, le concept des solutions de rechange et de la normalisation des écarts décrit en fin de compte, quelle que soit l’étroitesse de l’écart entre la procédure établie et la solution de rechange, une forme de solution de remplacement qui peut, selon le cas, être considérée comme dangereuse ou bien ne pas être évaluée et être considérée comme représentant un risque négligeable.   

    La documentation sur les facteurs humainsD. English et R. Branaghan, « An empirically derived taxonomy of pilot violation behavior », Safety Science, vol. 50, numéro 2 (février 2012), p. 199 à 209. décrit 4 types distincts d’adaptations en fonction de leur fréquence sur le lieu de travail : exceptionnelle, routinière, situationnelle et d’optimisation. Alors que les adaptations routinières se répètent au fil du temps et sont considérées comme des écarts fréquents par rapport aux SOP, les adaptations situationnelles et d’optimisation sont considérées, respectivement, comme des réactions à des ressources limitées et à la pression exercée pour atteindre un objectif précis.   

    Les adaptations exceptionnelles sont également définies comme des écarts par rapport aux procédures écrites qui surviennent dans des circonstances rares ou particulières (par exemple, adapter une vitesse anémométrique au décollage pour souffler la neige légère accumulée sur les ailes de l’aéronef). De telles adaptations sont généralement mises en œuvre lorsqu’il faut résoudre des problèmes dans des situations inhabituelles tout en essayant d’atteindre un objectif précis. Étant donné que les adaptations exceptionnelles découlent de circonstances rares, il peut être difficile de concevoir des moyens de défense particuliers pour contrer ce comportement, outre la CRM et la TEM.

    Lorsque des adaptations de quelque type que ce soit sont effectuées sans conséquences négatives évidentes, elles peuvent persister et devenir une pratique courante locale. Selon le contexte, l’adaptation de divers aspects du travail peut devenir la norme si ces adaptations contribuent à atteindre un objectif précis et qu’aucun problème n’est détecté. Cependant, ces adaptations peuvent éroder les marges de sécurité que les règles et les procédures normalisées étaient censées fournir au départ. À mesure que des adaptations relativement anodines en apparence se normalisent, les personnes qui les appliquent sont moins susceptibles de reconnaître les risques qu’elles posent pour la sécurité, surtout si ces adaptations ne sont pas évaluées par rapport aux risques connus.

    1.18.9 Recommandations antérieures du BST

    1.18.9.1 Recommandation A18-02 du BST

    Dans le cadre de l’enquête menée par le BST sur un accident survenu en 2017, au cours duquel un aéronef Avions de Transport Régional (ATR) 42-320 exploité par West Wind Aviation L.P. a perdu le contrôle et a heurté le reliefRapport d’enquête sur la sécurité du transport aérien A17C0146 du BST., le Bureau a recommandé que

    le ministère des Transports collabore avec les exploitants aériens et les administrations aéroportuaires dans le but d’identifier les lieux où l’équipement de dégivrage et d’antigivrage est inadéquat et de prendre des mesures d’urgence pour s’assurer de la disponibilité de l’équipement adéquat afin de réduire la probabilité que des aéronefs décollent malgré des surfaces critiques contaminées.

    Recommandation A18-02 du BST

    Dans sa plus récente réponse (septembre 2024), TC a réitéré qu’il est d’accord avec la recommandation A18-02.

    TC a expliqué que son groupe de travail sur le dégivrage dans les régions nordiques et éloignées (DNRC) a conclu qu’un registre de l’équipement de dégivrage était inefficace en tant que mesure d’atténuation des risques. Cela s’expliquait par la nature dynamique de l’industrie, qui fait que l’équipement de dégivrage est normalement fourni par des entrepreneurs tiers en fonction de la demande plutôt que d’être des installations permanentes. 

    TC continue de collaborer avec les intervenants de l’industrie par divers canaux, comme le Canadian Aviation Safety Collaboration Forum (CASCF), la Campagne de sécurité du taxi aérien (CSTA) et Sécurité aérienne — Nouvelles. Lors du CASCF d’avril 2024, la contamination critique des surfaces a été un sujet de discussion important, et une plus grande mobilisation était prévue lors des réunions d’octobre 2024 du Comité permanent sur les opérations dans des conditions de givrage (CPOCG). Ces forums sont essentiels pour échanger des renseignements sur le dégivrage et l’antigivrage des aéronefs et pour relever les défis opérationnels.

    De plus, TC a intégré cette recommandation à la Campagne de sécurité du taxi aérien; des groupes de travail à venir se concentreront sur des domaines-clés liés à la contamination des surfaces, y compris les facteurs humains et les pressions opérationnelles. Les résultats de ces discussions seront communiqués à l’échelle du secteur de l’aviation en vue d’une applicabilité élargie. TC a indiqué, de plus, qu'il effectuerait des inspections de conformité des opérations en cas de givrage au sol dans les aérodromes nordiques éloignés, ajouterait cette inspection à son plan de surveillance annuel et dispenserait une formation à ses inspecteurs sur les pratiques de dégivrage et d’antigivrage des aéronefs.

    Dans son évaluation de la réponse de TC en mars 2025, le BST a pris note des plans de TC de collaborer avec les intervenants de l’industrie et d'effectuer des inspections de conformité pour les opérations en cas de givrage au sol. Cependant, le BST a exprimé son désaccord avec la conclusion de TC qu’un registre de l’équipement de dégivrage était inefficace en tant que mesure d’atténuation des risques. Selon la lacune de sécurité décrite dans la recommandation A18-02, il est plus probable que des aéronefs décollent avec du givre, de la glace ou de la neige adhérant aux surfaces critiques quand ils décollent d’un lieu où l’équipement de dégivrage et d’antigivrage n’est pas disponible ou adéquat. Si TC détermine quels sont ces lieux, avec la collaboration des exploitants aériens et aéroportuaires, et prend des mesures urgentes pour s’assurer que l’équipement adapté est disponible, il est possible d’atténuer considérablement le risque associé à la lacune de sécurité décrite dans la recommandation.

    À défaut de s’assurer que les exploitants fournissent cet équipement, les pilotes sont susceptibles de répéter les gestes qui ont mené à l’accident en 2017, et les risques associés à la lacune de sécurité subsistent.

    Par conséquent, à l’égard de la réponse de TC à la recommandation A18-02, le Bureau a estimé que son évaluation était impossibleRecommandation A18-02 du BST : Équipement de dégivrage et d’antigivrage, à l’adresse : http://www.tsb-bst.gc.ca/fra/recommandations-recommendations/aviation/2018/rec-a1802.html (dernière consultation le 2 février 2026)..

    1.18.9.2 Recommandation A18-03 du BST

    À la suite du même accident, le Bureau a également recommandé que

    le ministère des Transports et les exploitants aériens prennent des mesures pour améliorer la conformité au paragraphe 602.11(2) du Règlement de l’aviation canadien et réduire la probabilité que des aéronefs décollent malgré des surfaces critiques contaminées.

    Recommandation A18-03 du BST

    En septembre 2024, TC a donné sa plus récente réponse à cette recommandation. TC a indiqué qu'il était d’accord avec la recommandation et a rapporté qu'il continuait à évaluer l’effet de ses campagnes ciblées sur le dégivrage au sol et à examiner d’autres approches en matière d’inspection. Il a partagé les renseignements recueillis lors de ces campagnes à l’occasion du CASCF au printemps 2024 et par l’intermédiaire de Sécurité aérienne — Nouvelles. TC a également indiqué qu'il a intégré cette recommandation (ainsi que la recommandation A18-02) à la Campagne de sécurité du taxi aérien et qu'il s'attend à ce que, suite à cette campagne, de nouvelles idées et des recommandations sur les pratiques exemplaires, les améliorations et les modifications réglementaires pourraient être formulées.

    En outre, TC a mentionné son Plan national de surveillance, dans lequel il continue d'appliquer des méthodes de surveillance fondées sur la sécurité et les risques qui favorisent une utilisation équilibrée des ressources en privilégiant les secteurs préoccupants prioritaires, y compris l’achèvement et l’évaluation d’une inspection ciblée des opérations de dégivrage au sol. De plus, un tableau de bord trimestriel est désormais communiqué au comité chargé de l’analyse, des événements, de la planification et de la production de rapports en vue d’être évalué continuellement, ce qui garantit une amélioration continue de la résolution des défis de dégivrage et d’antigivrage dans les collectivités nordiques et éloignées.

    Dans son évaluation de mars 2025 de la réponse de TC, le BST a pris note que TC a pris des mesures pour communiquer les risques liés à la lacune de sécurité décrite dans la recommandation A18-03. Le BST a indiqué qu’il trouve encourageantes les mesures prévues visant à accroître la conformité avec le paragraphe 602.11(2) du RAC, comme la mise en œuvre d’inspections de conformité, et a pris note du Plan national de surveillance de TC et de son tableau de bord trimestriel. Néanmoins, le BST a indiqué qu’il trouve préoccupant le fait que le risque lié aux défis de dégivrage et d'antigivrage identifiés par TC dans les collectivités nordiques et éloignées l'hiver de 2021–2022 n'a pas encore été considérablement atténué.

    Le BST a indiqué qu'une fois mises en œuvre, les mesures proposées par TC pourraient réduire considérablement le risque en augmentant la sensibilisation et la conformité à la réglementation, ce qui réduirait ainsi la probabilité que des aéronefs décollent malgré des surfaces critiques contaminées. Toutefois, tant que ces mesures ne seront pas prises, les risques liés à la lacune de sécurité décrite dans la recommandation A18-03 demeureront.

    Par conséquent, le Bureau a estimé que la réponse à la recommandation A18-03 dénotait une intention satisfaisanteRecommandation A18-03 du BST : Respect du paragraphe 602.11(2) du Règlement de l'aviation canadien, à l’adresse : http://www.tsb-bst.gc.ca/fra/recommandations-recommendations/aviation/2018/rec-a1803.html (dernière consultation le 2 février 2026)..

    2.0 Analyse

    L’analyse de la performance de l’aéronef qui a été réalisée pour le vol à l’étude a permis de déterminer que l’aéronef n’avait pas subi de baisse de performance importante attribuable à la contamination des surfaces critiques. Cependant, l’adaptation de la procédure appliquée par le commandant de bord et le premier officier (P/O) pour garantir la « propreté » de l’aéronef (c.-à-d. augmenter la vitesse de l’aéronef au décollage afin de souffler la neige fraîche des surfaces critiques) a contribué au profil de montée non standard de l’aéronef après la rotation. La montée de l’aéronef a également été influencée par la réaction des pilotes à l’indication d’anomalie du train d’atterrissage observée pendant le décollage.

    L’analyse portera donc principalement sur la maintenance et sur l’équipement de l’aéronef, le risque de contamination des surfaces critiques et la performance de l’aéronef pendant le décollage. Elle abordera aussi diverses questions liées aux facteurs humains, ainsi que les procédures de la compagnie. 

    2.1 Historique de maintenance de l’aéronef

    Un examen du carnet de route de l’aéronef à l’étude a été effectué pour les 12 mois d’exploitation précédant l’accident. Le problème du train d’atterrissage principal gauche et sa tendance à ne pas rentrer complètement n’avait pas été consigné dans le carnet, que ce soit en tant que défaut comme tel, ou dans une entrée signalant un atterrissage effectué à l’aéroport approprié le plus près après le départ de l’aéronef, mesure requise par la liste de vérification relative aux situations anormales en cas de problème de rentrée du train d’atterrissage. 

    Au cours des 12 mois précédant l’accident, le fonctionnement du train d’atterrissage de l’aéronef avait été vérifié par le personnel de maintenance de Northwestern Air Lease Ltd. (Northwestern Air Lease) dans le hangar de la compagnie à 5 reprises au cours de divers travaux de maintenance sans rapport. À toutes les occasions consignées, aucun défaut n’avait été constaté et l’aéronef avait été remis en service. L’enquête a permis de déterminer que le service de maintenance de Northwestern Air Lease était au courant du problème intermittent lié au train d’atterrissage principal gauche, mais qu’il n’avait pas corrigé le problème parce qu’il était difficile de reproduire les conditions environnementales dans lesquelles les pilotes l’avaient observé pendant l’exploitation de l’aéronef. 

    L’enquête a permis de déterminer que la direction, la maintenance et les pilotes d’aéronefs Jetstream de Northwestern Air Lease n’avaient pas perçu le problème de rentrée du train d’atterrissage principal comme une préoccupation importante liée à la sécurité. En effet, le problème se produisait rarement et de manière irrégulière, et la solution opérationnelle consistait simplement à augmenter l’assiette en tangage de l’aéronef pour réduire sa vitesse anémométrique et ainsi permettre au train d’atterrissage principal de se verrouiller en position rentrée. C’est pour cela que les pilotes d’aéronefs Jetstream n’avaient pas consigné le problème dans le carnet de bord de l’aéronef à l’étude.

    Fait établi quant aux risques

    Si les pilotes ne consignent pas tous les défauts de l’aéronef dans les dossiers techniques de l’aéronef, il se peut que le personnel de maintenance ne les corrige pas, ce qui augmente le risque que l’aéronef soit assigné à un vol alors que son état est dangereux.

    2.2 Contamination des surfaces critiques

    En raison des conditions météorologiques qui prévalaient à l’aéroport de Fort Smith (CYSM) (Territoires du Nord-Ouest) le matin de l’accident, le commandant de bord a demandé au personnel au sol d’imprégner de froid l’aéronef afin de réduire la température de sa structure et d’empêcher la neige qui tombait d’adhérer à la structure et à ses surfaces critiques, notamment les ailes. Pendant l’avitaillement de l’aéronef, le personnel au sol a vérifié si de la neige avait adhéré à la surface supérieure des ailes, mais n’en a pas observé. Avant de monter à bord, le commandant de bord a également réalisé une inspection visuelle et tactile du bord d’attaque extérieur de l’aile gauche pour déterminer si de la neige y adhérait.

    En raison de l’intensité perçue de neige qui tombait, l’accumulation de neige sur l’aéronef et ses surfaces critiques pendant le chargement et l’embarquement était au centre des préoccupations du commandant de bord et du P/O. Ce facteur a contribué à l’accélération du rythme auquel ils ont exécuté les listes de vérification avant le vol. Selon les données du système de surveillance dépendante automatique en mode diffusion (ADS-B) recueillies pendant l’enquête, pendant que l’aéronef roulait vers la piste à partir de l’aire de trafic, suffisamment de neige s’était accumulée sur le bord d’attaque extérieur de l’aile droite pour que le boudin de dégivrage de couleur noir de l’aile ne soit plus visible. Le commandant de bord a déclaré au P/O qu’il avait l’intention de maintenir la vitesse de l’aéronef après le décollage (avec un angle de tangage réduit) pour souffler la neige de l’aile. 

    Selon l’analyse de la performance au décollage de l’aéronef réalisée par le laboratoire du BST, la performance de vol de l’aéronef à l’étude n’a pas été dégradée considérablement par des facteurs aérodynamiques négatifs liés à la contamination des surfaces critiques. La contamination des surfaces critiques n’a donc pas contribué à la collision de l’aéronef avec les arbres. Toutefois, en vertu du Règlement de l’aviation canadien et du manuel d’exploitation de l’entreprise de Northwestern Air Lease, il est interdit d’entreprendre un décollage lorsque les surfaces critiques sont contaminées à quelque degré que ce soit. Comme l’indiquent les Lignes directrices pour les aéronefs lors de givrage au sol de TC, les pilotes ne peuvent pas supposer que toute accumulation de neige (ou de cristaux de glace) sur les surfaces critiques d’un aéronef sera soufflée pendant le décollage.

    Fait établi quant aux risques

    Si les pilotes ne s’assurent pas que les surfaces critiques de l’aéronef sont exemptes de contaminants avant un vol, il y a un risque que la performance de l’aéronef soit réduite.

    2.3 Données de performance de l’aéronef

    2.3.1 Profil de montée initiale

    Le commandant de bord et le P/O étaient préoccupés par l’intensification apparente de la neige qui tombait peu avant le départ dans des conditions de vol aux instruments (IFR). Le commandant de bord estimait que la neige n’adhérait pas aux ailes et qu’elle serait soufflée par le vent lorsque l’aéronef accélérerait pendant la course au décollage. Le commandant de bord a donc décidé de maintenir un angle et un profil de montée à faible pente afin de maintenir la vitesse de l’aéronef et d’ainsi souffler la neige des surfaces critiques de l’aéronef. Les données du vol à l'étude qui ont été analysées par le constructeur de l'aéronef correspondent à cette séquence. 

    L’analyse a permis de déterminer que, lors du décollage, l’aéronef à l’étude avait atteint une assiette positive d’environ 5°. En revanche, le manuel des procédures d’exploitation normalisées (SOP) de Northwestern Air Lease, intitulé Standard Operating Procedures Jetstream 3200, indique que l’aéronef doit atteindre une assiette en tangage au décollage de 8° à 10°. 

    Le départ effectué par le commandant de bord selon un profil de décollage non standard a entraîné une accélération rapide de l’aéronef à une vitesse indiquée en nœuds (KIAS) de plus de 140, pour atteindre environ 165 KIAS. Cette manœuvre a eu pour conséquence involontaire d’empêcher le train d’atterrissage principal (probablement le train d’atterrissage principal gauche) de se verrouiller en position rentrée lorsque cette position a été sélectionnée pour le train d’atterrissage. De plus, le profil de montée à faible pente établi pendant la montée initiale a réduit la hauteur au-dessus du terrain que l’aéronef pouvait atteindre sur une distance donnée. Ainsi, l’aéronef n’a atteint qu’une hauteur maximale d’environ 140 pieds au-dessus du sol (AGL). Lorsque le commandant de bord a ensuite réduit la puissance des moteurs afin de réduire la vitesse de l’aéronef et de permettre au train d’atterrissage principal de rentrer complètement, l’aéronef a entamé une descente à faible pente qui est passée inaperçue et n’a pas été corrigée.

    Fait établi quant aux causes et aux facteurs contributifs

    Lors du décollage, le commandant de bord a délibérément maintenu une assiette en tangage peu prononcée et une vitesse anémométrique élevée afin d’éliminer toute accumulation possible de neige sur l’aéronef. Ainsi, le profil de départ de l’aéronef était plus près du sol que lors d’un départ standard.

    2.3.2 Système de rentrée du train d'atterrissage

    En raison de l’ampleur de l’incendie qui a suivi l’impact, l’enquête n’a pas permis de déterminer avec certitude quel train d’atterrissage n’était pas complètement rentré lorsque la position rentrée du système de train d’atterrissage a été sélectionnée après le départ du vol à l’étude. Selon l’information recueillie au cours de l’enquête, le train d’atterrissage principal gauche était celui qui avait déjà connu des défaillances. Le problème se présentait de manière sporadique et uniquement en présence d’une combinaison de température extérieure froide (inférieure à environ −20 °C) et d’une charge aérodynamique suffisamment élevée attribuable à une vitesse anémométrique supérieure à environ 140 KIAS. Même si ce problème récurrent de train d’atterrissage était connu des pilotes de la compagnie, il ne figurait dans aucun des documents de la compagnie ou de l’aéronef.

    Fait établi quant aux causes et aux facteurs contributifs

    Lorsque le commandant de bord et le P/O ont tenté de rentrer le train d’atterrissage, la combinaison de la température extérieure inférieure à environ −20 °C et de la charge aérodynamique exercée sur le train d’atterrissage sous l’effet de l’augmentation de vitesse a empêché un des trains d’atterrissage principaux, probablement celui de gauche, de rentrer complètement.

    2.3.3 Performance au décollage de l’aéronef

    Une analyse de la performance au décollage de l’aéronef à l’étude a été réalisée à partir des renseignements limités disponibles provenant de l’ADS-B et de l’enregistreur de conversations de poste de pilotage (CVR). 

    L’accélération initiale et le profil de montée de l’aéronef correspondaient à un décollage au cours duquel le commandant de bord et le P/O avaient intentionnellement maintenu une vitesse anémométrique élevée et un angle de tangage faible. Selon les données de vol enregistrées (annexe A, figure A1), l’aéronef a accéléré à un rythme constant jusqu’à ce que le P/O annonce la réduction de vitesse visant à permettre au train d’atterrissage de rentrer complètement. L’enregistrement du CVR révèle qu’après cette annonce, il y a eu 2 légères baisses distinctes du régime moteur. Ces 2 baisses sont le signe d’une réduction intentionnelle de la puissance commandée par un recul des manettes des gaz. Selon l’enregistrement du CVR, les 2 baisses de régime se sont produites 2 fois en l’espace de 6 secondes. 

    Toujours selon les données de vol, l’aéronef a alors commencé à décélérer tandis que la hauteur au-dessus du sol a commencé à diminuer, passant d’un maximum de 140 pieds AGL à environ 50 pieds AGL. Toute cette séquence correspondait à une réduction intentionnelle de la vitesse de l’aéronef effectuée par les pilotes afin de permettre au train d’atterrissage de rentrer complètement.

    Fait établi quant aux causes et aux facteurs contributifs

    Après que le P/O a annoncé la réduction de la vitesse anémométrique, le commandant de bord a réduit la puissance des moteurs pour réduire la vitesse de l’aéronef et permettre au train d’atterrissage principal de rentrer complètement. En raison de la diminution de puissance, l’aéronef a entamé une descente non intentionnelle à 140 pieds AGL.

    2.4 Problèmes liés aux facteurs humains

    2.4.1 Gestion des ressources de l’équipage

    2.4.1.1 Distractions durant des phases critiques de vol

    Les distractions dans le poste de pilotage pendant les phases critiques du vol présentent des risques importants pour la sécurité aérienne. Lorsque les pilotes se concentrent sur des tâches ou des communications non essentielles, leur attention peut être détournée des opérations aériennes essentielles. Ce détournement de l’attention peut entraîner un temps de réaction plus long, des renseignements vitaux manqués et une prise de décision compromise, surtout pendant les phases critiques du vol comme les décollages, les atterrissages ou les situations anormales ou d’urgence. La complexité des postes de pilotage modernes, équipés d’une multitude d’instruments et de systèmes, peut exacerber les risques liés aux distractions et augmenter ainsi le potentiel d’événements indésirables. 

    Étant donné que l’attention est une ressource cognitive limitée qui doit être gérée avec soin, surtout dans des conditions de charge de travail élevée, la capacité des pilotes à se répartir la charge de travail peut avoir pour effet de réduire l’attention qui est exigée de chacun d’eux. Par exemple, pendant un décollage dans des conditions météorologiques de vol aux instruments, le pilote aux commandes (PF) se concentre sur des tâches critiques telles que le maintien d’un balayage efficace des instruments, pendant que le pilote surveillant (PM) surveille attentivement le profil de vol et, au besoin, se charge de tâches secondaires. Lors d’un imprévu comme l’allumage d’un voyant d’avertissement du train d’atterrissage, les pilotes peuvent détourner leur attention vers ce voyant et être distraits. Pendant une phase critique du vol, les pilotes doivent gérer avec soin ces distractions en communiquant efficacement entre eux et en déléguant les tâches selon le principe de « piloter, naviguer, communiquer et gérer ». 

    Le commandant de bord et le P/O ont constaté une anomalie lorsque le train d’atterrissage principal ne s’est pas verrouillé en position rentrée. L’avionneur avait déterminé qu’il s’agissait d’une situation anormale et avait publié une procédure à suivre par les pilotes dans le manuel de vol de l’aéronef et le manuel de référence rapide. À l’instar d’autres situations anormales, celle-ci ne constituait pas une urgence : elle ne présentait pas de défaillance suffisamment grave pour nécessiter une action immédiate afin de poursuivre le vol de façon sécuritaire.

    Immédiatement après le décollage, lorsque le P/O a constaté l’indication d’anomalie du train d’atterrissage principal, il a annoncé une réduction de la vitesse anémométrique. Le commandant de bord a alors tourné son attention vers l’indication du train d’atterrissage et l’a détourné de sa responsabilité de maintenir la montée de l’aéronef qui se trouvait encore à basse altitude. Cette responsabilité était particulièrement importante en raison du profil de décollage non standard que le commandant de bord avait choisi d’exécuter dans des conditions complexes. Le balayage des instruments qu’il a effectué n’a pas permis de déceler la descente que l’aéronef avait entamée, et ce, probablement parce qu’il était préoccupé par l’indication d’anomalie du train d’atterrissage.

    Le P/O, qui n’était pas aux commandes, a effectué toutes les annonces standards pendant la course au décollage, conformément aux procédures décrites dans les SOP de Northwestern Air Lease. Cependant, comme il était probablement concentré sur la position du train d’atterrissage principal et l’indicateur de vitesse anémométrique une fois que l’aéronef avait décollé et était en montée, il ne surveillait pas l’altitude ni la vitesse verticale de l’aéronef. Par conséquent, il n’a pas remarqué la perte d’altitude de l’aéronef et n’a donc pas pu aider le commandant de bord, qui était le PF, à corriger l’écart par rapport à la trajectoire de vol immédiatement après le décollage.

    Fait établi quant aux causes et aux facteurs contributifs

    Le commandant de bord et le P/O, probablement préoccupés par l’indication d’anomalie du train d’atterrissage principal et la vitesse anémométrique de l’aéronef, n’ont remarqué la perte d’altitude de l’aéronef qu’immédiatement avant l’impact. Par conséquent, l’aéronef a heurté des arbres et le terrain 10 secondes après le début de la descente.

    Selon le guide A Practical Guide for Improving Flight Path Monitoring publié par la Flight Safety Foundation, le rôle et les responsabilités de surveillance du PF et du PM doivent être bien définis dans les SOP des exploitants afin d’améliorer la performance du PM. Cependant, ces responsabilités et rôles divers en matière de surveillance qui s’appliquent pendant un départ ne sont pas définis explicitement dans les manuels de Northwestern Air Lease.

    Fait établi quant aux risques

    Si le rôle et les responsabilités du PF et du PM ne sont pas bien définis, la surveillance de l'aéronef qu’ils effectuent risque de ne pas être efficace, ce qui augmente le risque qu’ils ne se rendent pas compte d’une déviation par rapport à la trajectoire de vol prévue et donc qu’ils ne la corrigent pas.

    2.4.1.2 Utilisation des listes de vérification

    Les listes de vérification sont des sources d’information cruciales qui offrent aux pilotes des lignes directrices d’exploitation de l’aéronef. Elles aident les pilotes à prendre des décisions et leur fournissent des solutions toutes faites à diverses situations. Elles peuvent aussi aider les pilotes en faisant ressortir et en expliquant des facteurs de risque qui pourraient ne pas être évidents au cours de l’exploitation normale ou dans une situation anormale ou d’urgence. La discipline relative aux listes de vérification consiste à suivre la liste de vérification ou la procédure appropriée, qui indique aux pilotes la ligne de conduite la plus sécuritaire et la plus efficace dans la plupart des cas. 

    L’avionneur dispose d’une liste de vérification des procédures à suivre en cas de situation anormale, intitulée la Jetstream Series 3200 Emergency & Abnormal Checklist, que les pilotes peuvent consulter à bord de l’aéronef en cas de situation anormale. Cette liste est importante lorsqu’ils sont confrontés à de telles situations, car elle leur fournit des consignes et des procédures à suivre et leur évite d’avoir à mémoriser les diverses étapes à accomplir. Les procédures en cas de situation anormale ne sont pas des procédures que les pilotes doivent exécuter immédiatement.

    Le manuel de vol de l’aéronef de l’avionneur et la partie 3 du manuel d’utilisation du constructeur (MOM) contiennent la liste de vérification en cas de situation anormale (carte 39), portant spécialement sur la situation dans laquelle la position rentrée du train d’atterrissage a été sélectionnée, sans qu’il y ait toutefois d’indication que le train est rentré et verrouillé. Selon cette liste de vérification, les actions de base à exécuter pour remédier à cette situation sont les suivantes :

    • Placer le levier de commande du train d'atterrissage dans la position DOWN.
    • Vérifier si les trois voyants verts de l’indicateur de position du train d’atterrissage, qui indiquent que le train est sorti, sont allumés.
    • Atterrir à l’aérodrome approprié le plus proche, qui, dans l’événement à l’étude, aurait été CYSM.

    Selon les données recueillies pendant l’enquête, par le passé, les pilotes ne consultaient pas la liste de vérification en cas de situation anormale après avoir constaté l’indication d’anomalie du train d’atterrissage.

    Fait établi quant aux risques

    Si les pilotes ne suivent pas les procédures recommandées par l’avionneur, il existe un risque que l’aéronef se retrouve dans un état indésirable à la suite d’actions inappropriées ou incorrectes.

    2.4.2 Adaptations aux procédures d’exploitation normalisées

    La normalisation de la déviance présente un risque important dans l’industrie aéronautique, car elle compromet le respect des protocoles et des procédures de sécurité établis. Lorsque les pilotes acceptent et entreprennent régulièrement des actions qui s’écartent des SOP, ces écarts peuvent se normaliser au fil du temps et créer une culture qui privilégie la rapidité et la productivité au détriment de la sécurité. Cette acceptation de la non-conformité peut entraîner une érosion progressive des marges de sécurité, car les pilotes peuvent commencer à sous-estimer les risques associés à leurs actions. Ce comportement peut se répandre très rapidement dans un petit groupe travaillant au sein d’une organisation.

    La normalisation de la déviance peut avoir des conséquences systémiques au sein des organisations aéronautiques. Lorsque les pilotes observent que leurs collègues s’écartent des SOP sans subir de conséquences immédiates, ils peuvent se sentir poussés à se conformer à ces comportements, ce qui renforce davantage de telles pratiques risquées. Cette mentalité collective peut nuire au signalement des préoccupations liées à la sécurité et entraver la mise en œuvre des mesures correctives nécessaires. Pour atténuer efficacement les risques liés à la normalisation de la déviance, il est essentiel que les organisations aéronautiques favorisent une culture de la sécurité qui met l’accent sur la responsabilité et encourage un dialogue franc sur le respect des procédures. Ces organisations devraient également prévoir des examens réguliers des SOP et souligner leur importance ainsi que les limites attendues pour veiller à la sécurité des opérations.

    L’information recueillie au cours de l’enquête a démontré que les pilotes de Northwestern Air Lease qui avaient été affectés au pilotage des aéronefs Jetstream de la compagnie étaient bien conscients de la défaillance occasionnelle du train d’atterrissage principal de l’aéronef à l’étude, qui ne se verrouillait pas dans la position rentrée lorsque la température extérieure était inférieure à environ −20 °C et que la vitesse anémométrique de l’aéronef était supérieure à 140 KIAS. 

    Étant donné que ce problème ne se produisait pas à chaque vol, le consensus au sein de la compagnie était que, même lorsque les conditions préalables de température et de vitesse anémométrique étaient réunies, ce problème ne constituait pas une préoccupation en matière de sécurité aérienne justifiant sa consignation dans les dossiers techniques de l’aéronef. De plus, les pilotes avaient mis au point une adaptation simple et informelle (ou solution de rechange) pour verrouiller le train d’atterrissage principal en position rentrée, qui consistait à augmenter l’assiette en tangage de l’aéronef afin de réduire la vitesse anémométrique. Étant donné que cette solution de rechange avait produit systématiquement de bons résultats lors d’autres vols effectués avant l’événement et avait permis aux pilotes de ces vols de poursuivre leur route sans autre problème, elle a renforcé la nature anodine du problème en tant que tel et de l’adaptation.

    Fait établi quant aux risques

    Si les adaptations aux SOP sont acceptées et deviennent normalisées sans être officiellement mises en œuvre au sein d’une compagnie, il existe un risque que des interprétations divergentes des procédures entre les pilotes nuisent à la conscience commune de la situation et à l’efficacité de la gestion des ressources de l’équipage.

    2.5 Système d’avertissement et d’alarme d’impact

    Le dispositif du système d’avertissement et d’alarme d’impact (TAWS) a été détruit dans l’incendie qui a suivi l’impact, mais une analyse du système, de ses capacités et de sa performance attendue a été effectuée en fonction des données de trajectoire de vol disponibles obtenues au cours de l’enquête et de l’alerte sonore du TAWS qui était audible sur l’enregistrement du CVR immédiatement avant que l’aéronef ne percute les arbres à l’extrémité du prolongement dégagé de la piste. L’analyse a permis de déterminer que, d’après les paramètres d’alerte du TAWS et les altitudes calculées de l’aéronef, la seule alerte attendue aurait été l’alerte ALAT (perte d’altitude après le décollage ou approche interrompue) en mode 3B. Le déclenchement attendu de cette alerte correspondait au moment auquel une alerte sonore du TAWS a été entendue sur l’enregistrement du CVR.

    Fait établi : Autre

    Le TAWS a fonctionné dans les limites des paramètres attendus, conformément aux exigences de la norme technique TSO-C151b.

    2.6 Procédures d'exploitation normalisées de l’aéronef Jetstream de la série 3200

    La dernière révision du document Standard Operating Procedures Jetstream 3200 de Northwestern Air Lease date du 5 décembre 2019. Le manuel des SOP a été examiné en s’intéressant aux sections pertinentes à l’événement. L’enquête a permis de déterminer que la compagnie n’avait pas mis à jour la page 5-58 (carte 39) pour y inclure la liste de vérification des procédures à suivre en cas de situation anormale « Landing Gear Selector Lever Up – Landing Gear Not Locked Up » [levier de commande du train d’atterrissage dans la position rentrée – train d’atterrissage non verrouillé], qui contient les actions que les pilotes sont censés exécuter s’ils reçoivent une indication que le train d’atterrissage n’est pas verrouillé en position rentrée lorsque cette position est sélectionnée. Cette procédure faisait partie d’une mise à jour apportée lors de la dernière révision de la partie 3 du MOM. Le préambule du manuel des SOP précise que ce document n’a pas pour but de remplacer les consignes produites par l’avionneur, mais de venir les compléter. Toutefois, lorsqu’une compagnie produit un document destiné à être utilisé régulièrement par les pilotes, ces derniers peuvent en venir à se fier aux renseignements que contient le document, les estimant fiables.

    Fait établi : Autre

    Un examen des consignes de la compagnie s’appliquant à l’aéronef à l’étude a révélé qu’elles ne tenaient pas compte des dernières procédures publiées par l’avionneur.

    3.0 Faits établis

    3.1 Faits établis quant aux causes et aux facteurs contributifs

    Il s’agit des facteurs qui ont causé l’événement ou qui y ont contribué.

    1. Lors du décollage, le commandant de bord a délibérément maintenu une assiette en tangage peu prononcée et une vitesse anémométrique élevée afin d’éliminer toute accumulation possible de neige sur l’aéronef. Ainsi, le profil de départ de l’aéronef était plus près du sol que lors d’un départ standard.
    2. Lorsque le commandant de bord et le premier officier ont tenté de rentrer le train d’atterrissage, la combinaison de la température extérieure inférieure à environ −20 °C et de la charge aérodynamique exercée sur le train d’atterrissage sous l’effet de l’augmentation de vitesse a empêché un des trains principaux, probablement celui de gauche, de rentrer complètement.
    3. Après que le premier officier a annoncé la réduction de la vitesse anémométrique, le commandant de bord a réduit la puissance des moteurs pour réduire la vitesse de l’aéronef et permettre au train d’atterrissage principal de rentrer complètement. En raison de la diminution de puissance, l’aéronef a entamé une descente non intentionnelle à 140 pieds au-dessus du niveau de sol. 
    4. Le commandant de bord et le premier officier, probablement préoccupés par l’indication d’anomalie du train d’atterrissage principal et la vitesse anémométrique de l’aéronef, n’ont remarqué la perte d’altitude de l’aéronef qu’immédiatement avant l’impact. Par conséquent, l’aéronef a heurté des arbres et le terrain 10 secondes après le début de la descente.

    3.2 Faits établis quant aux risques

    Il s’agit des facteurs dans l’événement qui présentent un risque pour le système de transport. Ces facteurs peuvent, ou non, avoir causé l’événement ou y avoir contribué, mais ils pourraient présenter un risque dans le futur.

    1. Si les pilotes ne consignent pas tous les défauts de l’aéronef dans les dossiers techniques de l’aéronef, il se peut que le personnel de maintenance ne les corrige pas, ce qui augmente le risque que l’aéronef soit assigné à un vol alors que son état est dangereux. 
    2. Si les pilotes ne s’assurent pas que les surfaces critiques de l’aéronef sont exemptes de contaminants avant un vol, il y a un risque que la performance de l’aéronef soit réduite. 
    3. Si le rôle et les responsabilités du pilote aux commandes et du pilote surveillant ne sont pas bien définis, la surveillance de l'aéronef qu’ils effectuent risque de ne pas être efficace, ce qui augmente le risque qu’ils ne se rendent pas compte d’une déviation par rapport à la trajectoire de vol prévue et donc qu’ils ne la corrigent pas.
    4. Si les pilotes ne suivent pas les procédures recommandées par l’avionneur, il existe un risque que l’aéronef se retrouve dans un état indésirable à la suite d’actions inappropriées ou incorrectes.
    5. Si les adaptations aux procédures d’exploitation normalisées sont acceptées sans être officiellement mises en œuvre au sein d’une compagnie, il existe un risque que des interprétations divergentes des procédures entre les pilotes nuisent à la conscience commune de la situation et à l’efficacité de la gestion des ressources de l’équipage.

    3.3 Autres faits établis

    Ces faits établis règlent une controverse, révèlent des circonstances atténuantes ou soulignent un élément notable de l’événement.

    1. Le système d’avertissement et d’alarme d’impact a fonctionné dans les limites des paramètres attendus, conformément aux exigences de la norme technique TSO-C151b. 
    2. Un examen des consignes de la compagnie s’appliquant à l’aéronef à l’étude a révélé qu’elles ne tenaient pas compte des dernières procédures publiées par l’avionneur.

    4.0 Mesures de sécurité

    4.1 Mesures de sécurité prises

    4.1.1 Northwestern Air Lease Ltd.

    En octobre 2024, Northwestern Air Lease Ltd. a modifié le manuel des procédures d’exploitation normalisées des aéronefs Jetstream des séries 3100 et 3200 afin de préciser comment et quand les pilotes doivent réagir en cas de situation anormale ou d’urgence pendant un vol.

    Le présent rapport conclut l’enquête du Bureau de la sécurité des transports du Canada sur cet événement. Le Bureau a autorisé la publication de ce rapport le 21 janvier 2026. Le rapport a été officiellement publié le 5 mars 2026.

    Annexes

    Annexe A – Données de performance de l'aéronef pour le vol à l'étude

    Figure A1. Tracé chronologique du décollage du vol à l'étude
    Image
    Figure A1. Tracé chronologique du décollage du vol à l'étude

    Tableau A1. Chronologie des événements pendant le décollage à l'étude

    Événement

    Heure locale

    Temps écoulé (secondes)

    Description de l’événement

    A

    6 h 41 min 53 s

    0

    Annonce « 70 knots » [70 nœuds]

    B

    6 h 42 min 03 s

    10

    Annonces « V1 » et « Rotate » [rotation]

    C

    6 h 42 min 10 s

    17

    Annonce « Positive rate » [vitesse ascensionnelle positive]

    D

    6 h 42 min 13 s

    20

    Le premier officier (P/O) s’enquiert de l’allumage continu

    E

    6 h 42 min 21 s

    28

    Le P/O observe une indication d’anomalie du train d’atterrissage et annonce une réduction de vitesse

    F

    6 h 42 min 22 s

    29

    L'aéronef dépasse l'extrémité de la piste 30

    G

    6 h 42 min 25 s

    32

    Fluctuations du régime moteur

    H

    6 h 42 min 32 s

    39

    Alerte du système d’avertissement et d’alarme d’impact; le P/O annonce « Descending » [descente]

    I

    6 h 42 min 33 s

    40

    Bruits d’impact initiaux à la fin du prolongement dégagé de la piste (fin de l’enregistrement de l’enregistreur de conversations de poste de pilotage)

    Figure A2. Trajectoire de vol de l'aéronef à l'étude indiquant la chronologie des événements
    Image
    Figure A2. Trajectoire de vol de l'aéronef à l'étude indiquant la chronologie des événements